| 查看: 2152 | 回复: 20 | |
ming142007铁杆木虫 (职业作家)
化学百科
|
[求助]
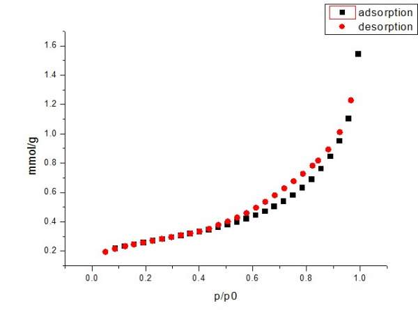
提供吸附数据,求指教吸附量为什么那么小
|
|
|
|
| 回帖支持 ( 显示支持度最高的前 50 名 ) | |
iaknankai木虫 (正式写手)
不知道
|
|
![]() |
|
|
2楼2013-06-15 23:46:39
|
|
| 普通回帖 | |
ming142007铁杆木虫 (职业作家)
化学百科
|
|
|
3楼2013-06-16 09:07:38
|
|
jcajcazhzh至尊木虫 (知名作家)
|
|
|
4楼2013-06-16 10:10:45
|
|
ming142007铁杆木虫 (职业作家)
化学百科
|
|
|
5楼2013-06-16 10:28:25
|
|
jcajcazhzh至尊木虫 (知名作家)
|
|
|
6楼2013-06-16 12:18:59
|
|
xiaobei123银虫 (正式写手)
|
|
|
7楼2013-06-16 14:39:20
|
|
ming142007铁杆木虫 (职业作家)
化学百科
|
|
|
8楼2013-06-16 15:42:13
|
|
ming142007铁杆木虫 (职业作家)
化学百科
|
|
|
9楼2013-06-16 15:42:49
|
|
ming142007铁杆木虫 (职业作家)
化学百科
|
|
|
10楼2013-06-16 15:50:37
|
|














回复此楼
