| ²é¿´: 738 | »Ø¸´: 5 | ||
haitao_lee½ð³æ (ÖøÃûдÊÖ)
|
[ÇóÖú]
΢·Ö·½³ÌѧµÄºÃµÄ°ïÎÒ¿´Ò»ÏÂÁË¡£¡£
|
|
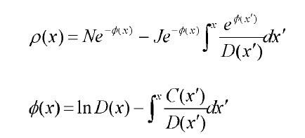
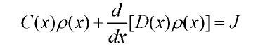
ÕâÊÇËæ»úÕñ¶¯Öлù±¾µÄ·½³Ì£¬¿ÉÊÇÎÒÊýѧ¹¦µ×½Ï½â²»³öÀ´°¡¡£Çë°ï¿´Ò»Ï£¬²»Ê¤¸Ð¼¤¡£¡£. δÃüÃû.jpg δÃüÃû1.jpg |
» ²ÂÄãϲ»¶
ÕÐÊÕÉúÎïѧ/ϸ°ûÉúÎïѧµ÷¼Á
ÒѾÓÐ4È˻ظ´
Ò»Ö¾Ô¸Î人Àí¹¤£¬×Ü·Ö321£¬Ó¢Ò»Êý¶þ£¬ÇóÀÏʦÊÕÁô¡£
ÒѾÓÐ5È˻ظ´
324Çóµ÷¼Á
ÒѾÓÐ8È˻ظ´
284Çóµ÷¼Á
ÒѾÓÐ12È˻ظ´
348Çóµ÷¼Á
ÒѾÓÐ3È˻ظ´
329Çóµ÷¼Á
ÒѾÓÐ7È˻ظ´
Çóµ÷¼Á£¬Ò»Ö¾Ô¸ ÄϾ©º½¿Õº½Ìì´óѧ´óѧ £¬080500²ÄÁÏ¿ÆÑ§Ó빤³Ìѧ˶
ÒѾÓÐ4È˻ظ´
¿¼Ñе÷¼Á
ÒѾÓÐ9È˻ظ´
304²ÄÁÏÇóµ÷¼Á
ÒѾÓÐ4È˻ظ´
Ò»Ö¾Ô¸Ö£´ó085600£¬310·ÖÇóµ÷¼Á
ÒѾÓÐ3È˻ظ´
» ±¾Ö÷ÌâÏà¹Ø¼ÛÖµÌùÍÆ¼ö£¬¶ÔÄúͬÑùÓаïÖú:
Çó½âÒ»¸ö΢·Ö·½³Ì
ÒѾÓÐ4È˻ظ´
ÊýѧÎïÀí·½³ÌÇó½â£¡£¨´ø±ß½çÌõ¼þµÄƫ΢·Ö·½³Ì£©
ÒѾÓÐ13È˻ظ´
΢·Ö·½³Ìѧϰ¡¢Éè¼ÆÓ뽨ģӦÓõ¼Òý¡¾×ªÔØ¡¿
ÒѾÓÐ40È˻ظ´
΢·Ö·½³Ì½â£¬½âµÄÎȶ¨ÐÔ¼°Ïà¹Ø·ÖÎö
ÒѾÓÐ7È˻ظ´
1stopt4½×·ÇÏßÐÔ³£Î¢·Ö·½³Ì£¬°ïСµÜ¿´Ò»Ï£¬¹òÇó¡£
ÒѾÓÐ7È˻ظ´
¶¯Á¦Ñ§²ÎÊýÄâºÏ
ÒѾÓÐ26È˻ظ´
ƫ΢·Ö·½³ÌµÄѧϰ
ÒѾÓÐ26È˻ظ´
Êýѧ¶þ¿¼²»¿¼È«Î¢·Ö·½³Ì£¬¼±¼±¼±
ÒѾÓÐ13È˻ظ´
matlab΢·Ö·½³Ì×é²ÎÊýÄâºÏ£¬ÒÔÖÜΪµ¥Î»Çó½â£¬»ã×ܺóÒÔÄêΪµ¥Î»½øÐÐÊýÖµ±È½Ï
ÒѾÓÐ4È˻ظ´
¼¸±¾²»´íµÄ΢·Ö·½³Ìѧϰ×ÊÁÏ¡¾×ªÔØ¡¿
ÒѾÓÐ192È˻ظ´
°ïæÇó½âÒ»µÀ΢·Ö·½³ÌµÄÌâÄ¿
ÒѾÓÐ7È˻ظ´
¡¾ÇóÖú¡¿ÇóÍÆ¼öƫ΢·Ö·½³ÌÊé¼®
ÒѾÓÐ9È˻ظ´
¡¾ÇóÖú¡¿matlabÔõôÇó½âƫ΢·Ö·½³Ì×é°¡£¬ÏÈллÁË
ÒѾÓÐ13È˻ظ´
¡¾ÇóÖú¡¿Ò»¸ö¶þ½×³£Î¢·Ö·½³ÌµÄ½â·¨£¨Öؽ±½ð±Ò£¡£©
ÒѾÓÐ16È˻ظ´
¡¾ÇóÖú¡¿Ñ§ºÃƫ΢·Ö·½³ÌµÄ»ù´¡
ÒѾÓÐ30È˻ظ´
whyhow
Ìú¸Ëľ³æ (ÖøÃûдÊÖ)
´øÄã·ÉÏè
- Ó¦Öú: 53 (³õÖÐÉú)
- ¹ó±ö: 0.4
- ½ð±Ò: 12628.2
- É¢½ð: 1311
- ºì»¨: 6
- Ìû×Ó: 1814
- ÔÚÏß: 535.8Сʱ
- ³æºÅ: 379347
- ×¢²á: 2007-05-22
- ÐÔ±ð: GG
- רҵ: Êýѧ
¡¾´ð°¸¡¿Ó¦Öú»ØÌû
¸Ðл²ÎÓ룬ӦÖúÖ¸Êý +1
| ¼ÈÈ»¶¼Óдð°¸ÁË, ÄÇÄã·´Ïò¼ìÑéÒ»ÏÂ, ´ÓÄæ¹ý³Ì¿´Ò»Ï½ⷨ. |

2Â¥2013-05-02 07:01:08
rxu88
ľ³æ (ÕýʽдÊÖ)
- Ó¦Öú: 66 (³õÖÐÉú)
- ½ð±Ò: 5177.5
- ºì»¨: 7
- Ìû×Ó: 940
- ÔÚÏß: 98.9Сʱ
- ³æºÅ: 2244976
- ×¢²á: 2013-01-16
- רҵ: ƫ΢·Ö·½³Ì

3Â¥2013-05-02 19:32:44
schianck
½ð³æ (СÓÐÃûÆø)
- Ó¦Öú: 24 (СѧÉú)
- ½ð±Ò: 1320.6
- ºì»¨: 2
- Ìû×Ó: 231
- ÔÚÏß: 82.5Сʱ
- ³æºÅ: 1433491
- ×¢²á: 2011-10-09
- ÐÔ±ð: GG
- רҵ: ¹âѧ
» ±¾ÌûÒÑ»ñµÃµÄºì»¨£¨×îÐÂ10¶ä£©

4Â¥2013-05-02 22:37:19
haitao_lee
½ð³æ (ÖøÃûдÊÖ)
- Ó¦Öú: 5 (Ó×¶ùÔ°)
- ½ð±Ò: 2563.4
- É¢½ð: 818
- ºì»¨: 4
- Ìû×Ó: 1163
- ÔÚÏß: 446.3Сʱ
- ³æºÅ: 1836404
- ×¢²á: 2012-05-27
- ÐÔ±ð: GG
- רҵ: ¶¯Á¦Ñ§Óë¿ØÖÆ
5Â¥2013-05-03 13:51:05
haitao_lee
½ð³æ (ÖøÃûдÊÖ)
- Ó¦Öú: 5 (Ó×¶ùÔ°)
- ½ð±Ò: 2563.4
- É¢½ð: 818
- ºì»¨: 4
- Ìû×Ó: 1163
- ÔÚÏß: 446.3Сʱ
- ³æºÅ: 1836404
- ×¢²á: 2012-05-27
- ÐÔ±ð: GG
- רҵ: ¶¯Á¦Ñ§Óë¿ØÖÆ
6Â¥2013-05-03 16:01:19














»Ø¸´´ËÂ¥
haitao_lee