| 查看: 1245 | 回复: 6 | ||
落听金虫 (小有名气)
|
[求助]
四元四次方程求解
|
|
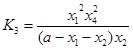
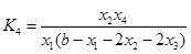
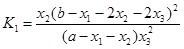
论文中要做一个图,四个方程四个未知数,四次方,急求求牛人帮忙解方程啊。K1, K2, K3, K4,a, b, 已知,求x1, x2, x3, x4。 公式.jpg 公式2.jpg 公式3.jpg 公式4.jpg |
» 猜你喜欢
材料085601调剂
已经有28人回复
344 材料专业 求调剂211 无地域要求
已经有8人回复
279求调剂
已经有9人回复
求调剂,985材料与化工348分
已经有11人回复
一志愿中南大学 0855 机械 286 求调剂
已经有8人回复
085600材料与化工349分求调剂
已经有6人回复
考研求调剂
已经有5人回复
调剂求收留
已经有30人回复
297工科,求调剂?
已经有9人回复
0854调剂
已经有11人回复
» 本主题相关价值贴推荐,对您同样有帮助:
求解一组四元一次方程
已经有4人回复
请问这个4阶的非线性偏微分方程组在PDE中怎么解?等待高手解答。
已经有17人回复
求matlab 用四阶龙格-库塔法求解微分方程
已经有4人回复
1stopt4阶非线性常微分方程,帮小弟看一下,跪求。
已经有7人回复
Mathematica 简单 四元一次方程组 ,求解问题~
已经有9人回复
用MATLAB编程求复数四次方程
已经有5人回复
求助四波混频耦合波方程数值求解
已经有5人回复
求解四阶微分方程组
已经有14人回复
【求助】帮忙求解一个一元四次方程
已经有9人回复
LABVIEW四阶龙格库塔法求解一阶微分方程组
已经有12人回复
【求助】如何解这样的方程组【有效期至2011年4月30日】
已经有9人回复
【求助】ansys求解时出现警告:有4个小支点调解方程求解,原因是?
已经有3人回复
【求助】Matlab中利用四阶龙格-库塔法求解微分方程!!!!
已经有9人回复
【讨论】【【四阶龙格-库塔法求解微分方程】】
已经有8人回复
【求助】帮忙求解四元方程组
已经有11人回复
【求助】KBH4和苯甲醛反应的化学方程式怎么写
已经有4人回复
【求助】钛酸四丁酯的水解方程式
已经有22人回复
hfj1988
新虫 (小有名气)
- 应助: 4 (幼儿园)
- 金币: 1057.2
- 帖子: 185
- 在线: 115.2小时
- 虫号: 2138982
- 注册: 2012-11-21
- 专业: 计算数学与科学工程计算
2楼2013-03-26 17:15:08
落听
金虫 (小有名气)
- 应助: 0 (幼儿园)
- 金币: 1210.3
- 散金: 676
- 帖子: 125
- 在线: 121.9小时
- 虫号: 457211
- 注册: 2007-11-12
- 专业: 无机非金属类电介质与电解
3楼2013-03-27 09:38:51
hfj1988
新虫 (小有名气)
- 应助: 4 (幼儿园)
- 金币: 1057.2
- 帖子: 185
- 在线: 115.2小时
- 虫号: 2138982
- 注册: 2012-11-21
- 专业: 计算数学与科学工程计算
4楼2013-03-27 13:31:13
落听
金虫 (小有名气)
- 应助: 0 (幼儿园)
- 金币: 1210.3
- 散金: 676
- 帖子: 125
- 在线: 121.9小时
- 虫号: 457211
- 注册: 2007-11-12
- 专业: 无机非金属类电介质与电解
5楼2013-03-28 09:41:28
6楼2013-03-28 23:37:41
落听
金虫 (小有名气)
- 应助: 0 (幼儿园)
- 金币: 1210.3
- 散金: 676
- 帖子: 125
- 在线: 121.9小时
- 虫号: 457211
- 注册: 2007-11-12
- 专业: 无机非金属类电介质与电解
7楼2013-03-29 13:25:14













回复此楼