版块导航
正在加载中...
客户端APP下载
论文辅导
调剂小程序
登录
注册
帖子
帖子
用户
本版
应《网络安全法》要求,自2017年10月1日起,未进行实名认证将不得使用互联网跟帖服务。为保障您的帐号能够正常使用,请尽快对帐号进行手机号验证,感谢您的理解与支持!
24小时热门版块排行榜
>
论坛更新日志
(3390)
>
虫友互识
(411)
>
休闲灌水
(208)
>
导师招生
(175)
>
文献求助
(143)
>
论文道贺祈福
(55)
>
考博
(54)
>
论文投稿
(49)
>
博后之家
(41)
>
考研
(37)
>
硕博家园
(36)
>
基金申请
(28)
>
公派出国
(28)
>
招聘信息布告栏
(25)
>
找工作
(16)
>
教师之家
(14)
小木虫论坛-学术科研互动平台
»
化学化工区
»
电化学
»
电分析测试
»
求大神帮忙分析一下我的Mott-Schottky曲线
4
1/1
返回列表
查看: 1025 | 回复: 3
只看楼主
@他人
存档
新回复提醒
(忽略)
收藏
在APP中查看
黄酒meloz
银虫
(初入文坛)
应助: 0
(幼儿园)
金币: 359.6
红花: 1
帖子: 30
在线: 51.5小时
虫号: 1996465
注册: 2012-09-12
性别:
MM
专业: 无机纳米化学
[
求助
]
求大神帮忙分析一下我的Mott-Schottky曲线
已有1人参与
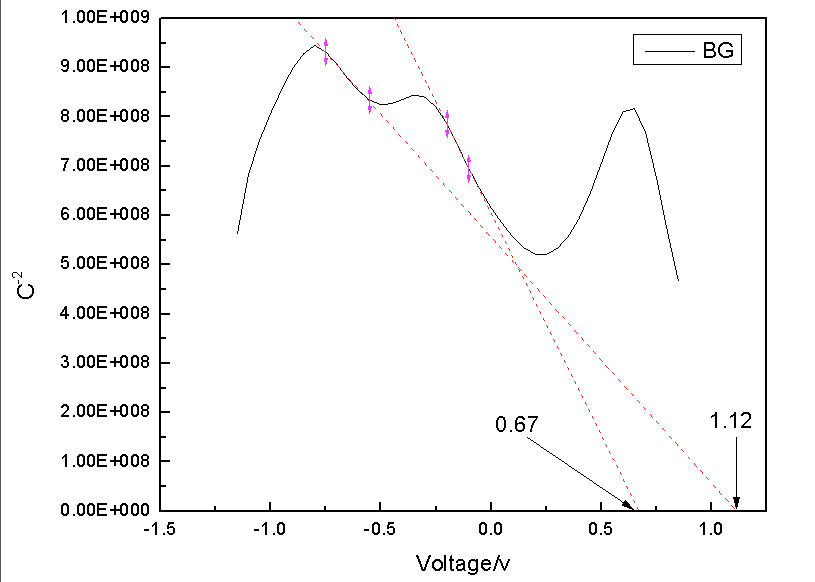
本人是做的是在FTO电化学沉积氧化石墨,用的是华辰的电化学工作站测得电位-阻抗曲线,再用origion做的M-S图。可是出现了下面这些很诡异的图形,理论上说应该是有FTO和GO接触面的P-N结电容和GO与溶液的P型电容,可是这些图也不是单纯的两个斜率,我就困惑了。因为小女子也是初接触这个测试,所以求大神帮忙解惑~~~
15.png
14.png
13.png
回复此楼
» 猜你喜欢
CSC & MSCA 博洛尼亚大学能源材料课题组博士/博士后招生|MSCA经费充足、排名优
已经有6人回复
德国Karlsruhe Institute of Technology招收电化学储能及联合培养CSC博士等
已经有20人回复
物理化学论文润色/翻译怎么收费?
已经有118人回复
德国Karlsruhe Institute of Technology招收电化学储能及联合培养CSC博士
已经有24人回复
德国Karlsruhe Institute of Technology招收电化学储能及联合培养CSC博士
已经有1人回复
固态锂金属电池迁移数计算求助
已经有1人回复
荷兰奈梅亨大学赵文博与Galimberti课题组招收理论计算CSC博士 2000 欧元/月+房补
已经有0人回复
26储能博士申请自荐
已经有22人回复
上海交通大学--宁波东方理工大学电池方向博士招生
已经有10人回复
海南大学全国重点实验室杨金霖老师招收储能电池方向博士生(2026年3月报名,9月入学)
已经有0人回复
海南师范大学2026年博士研究生招收 (在职想提升学历人员可报考) 申请考核制+普通招考
已经有0人回复
» 本主题相关商家推荐:
(我也要在这里推广)
» 本主题相关价值贴推荐,对您同样有帮助:
求大神来帮忙看看q-PCR扩增曲线,都快崩溃了~
已经有4人回复
13英语!想哭的心都有了,求大神帮忙!
已经有7人回复
哪位大神帮忙做下这两道数学分析题,实在想不起来了
已经有4人回复
求大神们帮忙翻译几门研究生课程名称,要专业翻译,不要逐字翻译!
已经有2人回复
求高手帮忙分析一下铝合金的动电位极化曲线
已经有17人回复
跪求各位大神解答~本人高三学生 高考想考建筑学 求各位大神帮忙解答一下
已经有9人回复
求问大神们 平顶的曲线应该用什么函数来拟合?
已经有17人回复
大神帮我分析分析CV曲线吧,小妹跪求
已经有5人回复
请教碳材料的氮气吸附脱附曲线分析!请各位大神不吝赐教!~~
已经有5人回复
急急急,,急求大神帮忙翻译一下,跪谢!!!
已经有2人回复
请帮忙分析一个玻璃的dsc曲线,想知道各个峰表示什么含义。
已经有3人回复
请高手帮忙分析一下SiO2-Al2O3的TG-DTA曲线,非常感谢!
已经有7人回复
跪求大神帮忙解决A类错误
已经有3人回复
求大神帮忙研究一下关于铝合金的抗弯强度的问题!!!!!!!
已经有13人回复
重金求大神帮忙!!~英文翻译100-150词之间~
已经有1人回复
求助用Mott–Schottky 测试判断半导体导电类型
已经有16人回复
mott-schottky曲线得到平带电位与掺杂浓度,如何计算导带价带位置?
已经有9人回复
求大家帮忙分析下这个CV曲线吧
已经有10人回复
【求助】帮忙分析下I-V曲线
已经有26人回复
1楼
2013-03-10 21:10:25
已阅
回复此楼
关注TA
给TA发消息
送TA红花
TA的回帖
senceli
银虫
(小有名气)
应助: 0
(幼儿园)
金币: 393.3
散金: 530
红花: 2
帖子: 142
在线: 184.4小时
虫号: 2013768
注册: 2012-09-19
性别:
MM
专业: 环境分析化学
请问楼主沉积氧化石墨于FTO上的沉积方法是什么啊?
赞
一下
回复此楼
Stayhungry,stayfooiish.
2楼
2013-05-31 20:37:30
已阅
回复此楼
关注TA
给TA发消息
送TA红花
TA的回帖
gxytju2008
专家顾问
(文坛精英)
专家经验: +1654
应助: 4105
(副教授)
贵宾: 0.053
金币: 47504.7
散金: 4089
红花: 503
帖子: 14996
在线: 7313.5小时
虫号: 1111232
注册: 2010-09-29
性别: GG
专业: 材料物理化学
管辖:
微米和纳米
【答案】应助回帖
上海辰华做阻抗类测试貌似不靠谱嗯,最好找个好点工作站试试
赞
一下
回复此楼
3楼
2013-05-31 20:48:05
已阅
回复此楼
关注TA
给TA发消息
送TA红花
TA的回帖
驽马_博
新虫
(正式写手)
应助: 0
(幼儿园)
金币: 7787
散金: 5
红花: 3
帖子: 916
在线: 80.8小时
虫号: 4020684
注册: 2015-08-13
性别: GG
专业: 电化学
【答案】应助回帖
我最近也在做M-S,请问怎么才能在origion做出M-S图,尤其是纵坐标怎么计算?
赞
一下
回复此楼
4楼
2017-05-08 16:09:12
已阅
回复此楼
关注TA
给TA发消息
送TA红花
TA的回帖
相关版块跳转
有机交流
有机资源
高分子
无机/物化
分析
催化
工艺技术
化工设备
石油化工
精细化工
电化学
环境
SciFinder/Reaxys
我要订阅楼主
黄酒meloz
的主题更新
4
1/1
返回列表
如果回帖内容含有宣传信息,请如实选中。否则帐号将被全论坛禁言
普通表情
龙
兔
虎
猫
百度网盘
|
360云盘
|
千易网盘
|
华为网盘
在新窗口页面中打开自己喜欢的网盘网站,将文件上传后,然后将下载链接复制到帖子内容中就可以了。
信息提示
关闭
请填处理意见
关闭
确定