| 查看: 5737 | 回复: 11 | ||
mantouplus捐助贵宾 (小有名气)
|
[求助]
有偿求助:matlab怎么解联立方程组?
|
|
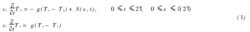
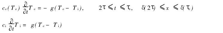
如下图,几个方程组联立,请问怎样编程?pde函数只能解有两个方程的单个方程组。有偿也行! 方程1 方程2 方程组3 [ Last edited by mantouplus on 2013-2-27 at 09:51 ] |
» 猜你喜欢
宿州学院学报
已经有4人回复
青B发送上会通知了吗
已经有14人回复
博士申请
已经有5人回复
4,4二甲基联苯干啥用,有懂得吗
已经有4人回复
西安交大新媒学院副院长用撤稿论文结题
已经有7人回复
论文撤稿了
已经有9人回复
化学专业申博
已经有5人回复
招收2026级博士生
已经有5人回复
医学类期刊求推荐
已经有6人回复
26/27申博自荐
已经有10人回复
» 本主题相关价值贴推荐,对您同样有帮助:
Matlab求解二阶偏微分方程组,希望能给出相应的求解代码
已经有10人回复
求Matlab高手解决线性方程组的迭代求解问题
已经有17人回复
求助matlab 非线性方程组全部解!
已经有6人回复
如何用matlab求解矩阵系数的二阶微分方程
已经有13人回复
matlab求解非线性方程组,错误提示怎么解决
已经有5人回复
求助 MATLAB解方程组-fslove
已经有7人回复
求助matlab---fsolve解非线性方程组
已经有6人回复
求助!matlab用fsolve函数求解非线性方程组的问题!
已经有19人回复
Matlab如何实现这样的计算:赋值——计算——判断结果——重复
已经有10人回复
matlab微分方程组参数拟合,以周为单位求解,汇总后以年为单位进行数值比较
已经有4人回复
求助MATLAB解方程组
已经有6人回复
Matlab求解偏微分方程组
已经有22人回复
matlab求解非线性方程组
已经有16人回复
matlab数值求解边界条件微分方程组
已经有7人回复
高金求助matlab解微分方程组
已经有12人回复
求matlab求解一个方程组的问题
已经有6人回复
求高人指点用matlab求解非线性方程组,解决了追加100金币;
已经有11人回复
matlab的fsove 命令求解非线性方程组
已经有6人回复
【求助】MATLAB 解方程组【已解决】
已经有7人回复
【求助】向各位大侠求助matlab求解微分方程组遇到的一个问题
已经有21人回复
【求助】matlab怎么求解偏微分方程组啊,先谢谢了
已经有13人回复
【求助】求教matlab解非线性方程组
已经有9人回复
mantouplus
捐助贵宾 (小有名气)
- 应助: 0 (幼儿园)
- 金币: 3213.8
- 散金: 311
- 红花: 4
- 帖子: 182
- 在线: 183.6小时
- 虫号: 1876018
- 注册: 2012-07-02
- 专业: 部门法学
2楼2013-02-27 09:54:47
mantouplus
捐助贵宾 (小有名气)
- 应助: 0 (幼儿园)
- 金币: 3213.8
- 散金: 311
- 红花: 4
- 帖子: 182
- 在线: 183.6小时
- 虫号: 1876018
- 注册: 2012-07-02
- 专业: 部门法学
3楼2013-02-27 10:03:01
mantouplus
捐助贵宾 (小有名气)
- 应助: 0 (幼儿园)
- 金币: 3213.8
- 散金: 311
- 红花: 4
- 帖子: 182
- 在线: 183.6小时
- 虫号: 1876018
- 注册: 2012-07-02
- 专业: 部门法学
4楼2013-02-27 10:20:37
mantouplus
捐助贵宾 (小有名气)
- 应助: 0 (幼儿园)
- 金币: 3213.8
- 散金: 311
- 红花: 4
- 帖子: 182
- 在线: 183.6小时
- 虫号: 1876018
- 注册: 2012-07-02
- 专业: 部门法学
5楼2013-02-27 10:30:35
mantouplus
捐助贵宾 (小有名气)
- 应助: 0 (幼儿园)
- 金币: 3213.8
- 散金: 311
- 红花: 4
- 帖子: 182
- 在线: 183.6小时
- 虫号: 1876018
- 注册: 2012-07-02
- 专业: 部门法学
6楼2013-02-27 10:49:41
mantouplus
捐助贵宾 (小有名气)
- 应助: 0 (幼儿园)
- 金币: 3213.8
- 散金: 311
- 红花: 4
- 帖子: 182
- 在线: 183.6小时
- 虫号: 1876018
- 注册: 2012-07-02
- 专业: 部门法学
7楼2013-02-27 16:12:01
8楼2013-02-27 18:28:22
mantouplus
捐助贵宾 (小有名气)
- 应助: 0 (幼儿园)
- 金币: 3213.8
- 散金: 311
- 红花: 4
- 帖子: 182
- 在线: 183.6小时
- 虫号: 1876018
- 注册: 2012-07-02
- 专业: 部门法学
9楼2013-02-27 18:59:05
mantouplus
捐助贵宾 (小有名气)
- 应助: 0 (幼儿园)
- 金币: 3213.8
- 散金: 311
- 红花: 4
- 帖子: 182
- 在线: 183.6小时
- 虫号: 1876018
- 注册: 2012-07-02
- 专业: 部门法学
10楼2013-02-27 21:07:15












回复此楼