| ²é¿´: 2476 | »Ø¸´: 14 | ||
wxm27811½ð³æ (СÓÐÃûÆø)
|
[ÇóÖú]
UKFÂ˲¨Ëã·¨ÖÐsigmaµãµÄз½²îÈ¨ÖØÖ®ºÍΪʲô²»Îª1£¿
|
|
|
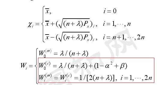
ÈçÉÏͼ£¬ÎªÊ²Ã´UKFÂ˲¨ÖеIJÉÑùµã£¬ËûÃǵÄз½²îÈ¨ÖØÖ®ºÍ²»ÊÇÒ»£¿Õâ¸öÈ¨ÖØÎªÊ²Ã´ÊÇÕâ¸öÑù×ÓµÄÄØ£¿ÔõÃ´ÍÆµ¼µÄÄØ£¿ лл´ó¼Ò~£¡ |
» ²ÂÄãϲ»¶
Ò»Ö¾Ô¸±±½»´ó²ÄÁϹ¤³Ì×Ü·Ö358Çóµ÷¼Á
ÒѾÓÐ9È˻ظ´
286Çóµ÷¼Á
ÒѾÓÐ11È˻ظ´
Çóµ÷¼Á£¡ÉúÎïÓëҽҩר˶
ÒѾÓÐ6È˻ظ´
362Çóµ÷¼ÁÒ»Ö¾Ô¸ÖйúʯÓÍ´óѧ
ÒѾÓÐ4È˻ظ´
085600£¬321·ÖÇóµ÷¼Á
ÒѾÓÐ14È˻ظ´
²ÄÁϵ÷¼Á
ÒѾÓÐ4È˻ظ´
Ò»Ö¾Ô¸ÉúÎïÓëÒ½Ò©£¬296·Ö£¬Çóµ÷¼Á
ÒѾÓÐ11È˻ظ´
346·ÖµÄÉúÎïÓëÒ½Ò©08600Çóµ÷¼Á
ÒѾÓÐ7È˻ظ´
071000ÉúÎïѧµ÷¼Á
ÒѾÓÐ6È˻ظ´
Ò»Ö¾Ô¸Ö£ÖÝ´óѧ²ÄÁÏÓ뻯¹¤085600£¬Çóµ÷¼Á
ÒѾÓÐ25È˻ظ´
wanglu1987xy
½ð³æ (ÕýʽдÊÖ)
- Ó¦Öú: 30 (СѧÉú)
- ½ð±Ò: 1575.5
- É¢½ð: 2237
- ºì»¨: 8
- Ìû×Ó: 428
- ÔÚÏß: 532Сʱ
- ³æºÅ: 1514743
- ×¢²á: 2011-11-29
- ÐÔ±ð: GG
- רҵ: ¿ØÖÆÀíÂÛÓë·½·¨
|
UKFÀïÃæµÄ¸ùºÅ±íʾµÄ¾ÍÊǶԳƾØÕóµÄCholesky·Ö½â£¬ÔÚmatlabÀïÃæµ÷ÓÃcholº¯Êý¾ÍºÃÁË¡£ |
12Â¥2013-01-14 16:58:52
|
¶¥Ò»Ï [ ·¢×ÔÊÖ»ú°æ http://muchong.com/3g ] |
2Â¥2013-01-02 19:02:07
wxm27811
½ð³æ (СÓÐÃûÆø)
- Ó¦Öú: 0 (Ó×¶ùÔ°)
- ½ð±Ò: 1199.1
- ºì»¨: 2
- Ìû×Ó: 63
- ÔÚÏß: 42.2Сʱ
- ³æºÅ: 1375602
- ×¢²á: 2011-08-22
- ÐÔ±ð: GG
- רҵ: ÐÅÏ¢ÀíÂÛÓëÐÅϢϵͳ
3Â¥2013-01-03 00:41:37
wxm27811
½ð³æ (СÓÐÃûÆø)
- Ó¦Öú: 0 (Ó×¶ùÔ°)
- ½ð±Ò: 1199.1
- ºì»¨: 2
- Ìû×Ó: 63
- ÔÚÏß: 42.2Сʱ
- ³æºÅ: 1375602
- ×¢²á: 2011-08-22
- ÐÔ±ð: GG
- רҵ: ÐÅÏ¢ÀíÂÛÓëÐÅϢϵͳ
4Â¥2013-01-03 23:11:44
wanglu1987xy
½ð³æ (ÕýʽдÊÖ)
- Ó¦Öú: 30 (СѧÉú)
- ½ð±Ò: 1575.5
- É¢½ð: 2237
- ºì»¨: 8
- Ìû×Ó: 428
- ÔÚÏß: 532Сʱ
- ³æºÅ: 1514743
- ×¢²á: 2011-11-29
- ÐÔ±ð: GG
- רҵ: ¿ØÖÆÀíÂÛÓë·½·¨
5Â¥2013-01-04 16:25:44
wxm27811
½ð³æ (СÓÐÃûÆø)
- Ó¦Öú: 0 (Ó×¶ùÔ°)
- ½ð±Ò: 1199.1
- ºì»¨: 2
- Ìû×Ó: 63
- ÔÚÏß: 42.2Сʱ
- ³æºÅ: 1375602
- ×¢²á: 2011-08-22
- ÐÔ±ð: GG
- רҵ: ÐÅÏ¢ÀíÂÛÓëÐÅϢϵͳ
6Â¥2013-01-04 19:34:37
wanglu1987xy
½ð³æ (ÕýʽдÊÖ)
- Ó¦Öú: 30 (СѧÉú)
- ½ð±Ò: 1575.5
- É¢½ð: 2237
- ºì»¨: 8
- Ìû×Ó: 428
- ÔÚÏß: 532Сʱ
- ³æºÅ: 1514743
- ×¢²á: 2011-11-29
- ÐÔ±ð: GG
- רҵ: ¿ØÖÆÀíÂÛÓë·½·¨
|
ÕâÁ½¸öȨֵÊÇÓÐ×÷Óõġ£ µ±ÈÏΪϵͳ·þ´Ó¸ß˹·Ö²¼µÄʱºò£¬²Å×öÉÏÃæµÄ²ÎÊýÉèÖ㬵«²»ÊǸß˹·Ö²¼µÄʱºò£¬¿ÉÒÔ¸ù¾Ýʵ¼ÊÇé¿ö½øÐвÎÊýµ÷½Ú£¬Äܹ»»ñµÃ¸üºÃµÄЧ¹û¡£ \alphaÕýÖµµÄ±ÈÀýËõ·ÅÒò×Ó,\betaÃèÊöÏÈÑé·Ö²¼ÐÅÏ¢£¬·Ö±ð¸ù¾ÝϵͳµÄ·ÇÏßÐԳ̶ÈÇ¿ÈõºÍϵͳ״̬µÄÏÈÑé·Ö²¼ÐÅÏ¢½øÐе÷½Ú£¬¾ßÌåµÄÄã¿ÉÒÔÕÒÒ»±¾Êé»òÕßÂÛÎÄ¿´¿´¡£ ²»¹ýÎÒÒ»°ã¾ÍÊǰ´ÕÕ×î¼òµ¥µÄ·½·¨È¥ÉèÖòÎÊýÁË¡£ |
7Â¥2013-01-05 10:28:10
wxm27811
½ð³æ (СÓÐÃûÆø)
- Ó¦Öú: 0 (Ó×¶ùÔ°)
- ½ð±Ò: 1199.1
- ºì»¨: 2
- Ìû×Ó: 63
- ÔÚÏß: 42.2Сʱ
- ³æºÅ: 1375602
- ×¢²á: 2011-08-22
- ÐÔ±ð: GG
- רҵ: ÐÅÏ¢ÀíÂÛÓëÐÅϢϵͳ
8Â¥2013-01-05 11:05:04
wanglu1987xy
½ð³æ (ÕýʽдÊÖ)
- Ó¦Öú: 30 (СѧÉú)
- ½ð±Ò: 1575.5
- É¢½ð: 2237
- ºì»¨: 8
- Ìû×Ó: 428
- ÔÚÏß: 532Сʱ
- ³æºÅ: 1514743
- ×¢²á: 2011-11-29
- ÐÔ±ð: GG
- רҵ: ¿ØÖÆÀíÂÛÓë·½·¨
9Â¥2013-01-05 16:44:31
wxm27811
½ð³æ (СÓÐÃûÆø)
- Ó¦Öú: 0 (Ó×¶ùÔ°)
- ½ð±Ò: 1199.1
- ºì»¨: 2
- Ìû×Ó: 63
- ÔÚÏß: 42.2Сʱ
- ³æºÅ: 1375602
- ×¢²á: 2011-08-22
- ÐÔ±ð: GG
- רҵ: ÐÅÏ¢ÀíÂÛÓëÐÅϢϵͳ
10Â¥2013-01-14 16:41:00














»Ø¸´´ËÂ¥
