°æ¿éµ¼º½
ÕýÔÚ¼ÓÔØÖÐ...
¿Í»§¶ËAPPÏÂÔØ
ÂÛÎĸ¨µ¼
µ÷¼ÁС³ÌÐò
怬
×¢²á
Ìû×Ó
Ìû×Ó
Óû§
±¾°æ
Ó¦¡¶ÍøÂ簲ȫ·¨¡·ÒªÇó£¬×Ô2017Äê10ÔÂ1ÈÕÆð£¬Î´½øÐÐʵÃûÈÏÖ¤½«²»µÃʹÓû¥ÁªÍø¸úÌû·þÎñ¡£Îª±£ÕÏÄúµÄÕʺÅÄܹ»Õý³£Ê¹Óã¬Ç뾡¿ì¶ÔÕʺŽøÐÐÊÖ»úºÅÑéÖ¤£¬¸ÐлÄúµÄÀí½âÓëÖ§³Ö£¡
24СʱÈÈÃŰæ¿éÅÅÐаñ
>
ÂÛ̳¸üÐÂÈÕÖ¾
(4708)
>
µ¼Ê¦ÕÐÉú
(867)
>
¿¼ÑÐ
(777)
>
ÎÄÏ×ÇóÖú
(210)
>
³æÓÑ»¥Ê¶
(166)
>
»ù½ðÉêÇë
(141)
>
˶²©¼ÒÔ°
(133)
>
ÐÝÏйàË®
(117)
>
¿¼²©
(103)
>
²©ºóÖ®¼Ò
(76)
>
ÂÛÎÄͶ¸å
(75)
>
ÕÐÆ¸ÐÅÏ¢²¼¸æÀ¸
(68)
>
¹«Åɳö¹ú
(53)
>
½Ìʦ֮¼Ò
(35)
>
ÂÛÎĵÀºØÆí¸£
(33)
>
ÂÌÉ«ÇóÖú(¸ßÐüÉÍ)
(22)
Сľ³æÂÛ̳-ѧÊõ¿ÆÑл¥¶¯Æ½Ì¨
»
¼ÆËãÄ£ÄâÇø
»
³ÌÐòÓïÑÔ
»
matlab»ý·ÖÎÊÌâ
5
1/1
·µ»ØÁбí
²é¿´: 533 | »Ø¸´: 4
Ö»¿´Â¥Ö÷
@ËûÈË
´æµµ
лظ´ÌáÐÑ
(ºöÂÔ)
ÊÕ²Ø
ÔÚAPPÖв鿴
wangbin2010
½ð³æ
(СÓÐÃûÆø)
Ó¦Öú: 0
(Ó×¶ùÔ°)
½ð±Ò: 614.2
Ìû×Ó: 116
ÔÚÏß: 54.2Сʱ
³æºÅ: 959119
×¢²á: 2010-03-01
ÐÔ±ð: GG
רҵ: ½ðÊô²ÄÁϵÄÄý¹ÌÓë½á¾§Ñ§
[
ÇóÖú
]
matlab»ý·ÖÎÊÌâ
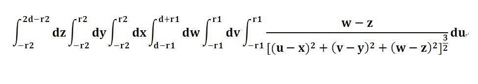
¹«Ê½ÈçͼËùʾ£¬
ÆäÖУºr2>r1>0;
r2>d+r1>d>=0£»
ÓÃmatlab»òÕ߯äËü¹¤¾ß¶¼¿ÉÒÔ£¬ÈçºÎ»ý·Ö³öÀ´ÄØ£¿
1.JPG
»Ø¸´´ËÂ¥
» ²ÂÄãϲ»¶
265Çóµ÷¼Á
ÒѾÓÐ8È˻ظ´
0817 »¯Ñ§¹¤³Ì 299·ÖÇóµ÷¼Á ÓпÆÑоÀú ÓжþÇøÎÄÕÂ
ÒѾÓÐ21È˻ظ´
295²ÄÁÏÇóµ÷¼Á£¬Ò»Ö¾Ô¸Î人Àí¹¤085601ר˶
ÒѾÓÐ4È˻ظ´
0856µ÷¼Á£¬ÊÇѧУ¾ÍÈ¥
ÒѾÓÐ9È˻ظ´
298-Ò»Ö¾Ô¸Öйúũҵ´óѧ-Çóµ÷¼Á
ÒѾÓÐ9È˻ظ´
Çóµ÷¼Á
ÒѾÓÐ4È˻ظ´
ѧУÒѾÌá½»µ½NSFC£¬»¹ÄÜÐÞ¸ÄÂð£¿
ÒѾÓÐ7È˻ظ´
²ÄÁÏѧ˶297ÒѹýËÄÁù¼¶Çóµ÷¼ÁÍÆ¼ö
ÒѾÓÐ6È˻ظ´
295¸´ÊÔµ÷¼Á
ÒѾÓÐ7È˻ظ´
±¾ÈË¿¼085602 »¯Ñ§¹¤³Ì ר˶
ÒѾÓÐ20È˻ظ´
» ±¾Ö÷ÌâÏà¹Ø¼ÛÖµÌùÍÆ¼ö£¬¶ÔÄúͬÑùÓаïÖú:
Çë½Ì´ó¼ÒÒ»¸ö·´¾í»ýµÄÎÊÌâ~~°ïÃ¦ÍÆµ¼»òÕßmatlab±à³Ì¼ÆËã~~
ÒѾÓÐ5È˻ظ´
Çë½Ì¹ØÓÚÂó¿Ë˹Τ-²¨¶û×ÈÂü·Ö²¼µÄÎÊÌâ
ÒѾÓÐ5È˻ظ´
Çë½Ìmatlab·´Ó¦¶¯Á¦Ñ§²ÎÊý¹À¼ÆÓöµ½µÄÎÊÌ⣬лл
ÒѾÓÐ15È˻ظ´
matlab »ý·ÖÇóÖú
ÒѾÓÐ8È˻ظ´
matlab »ý·Ö¼ÆËã Ëã²»³ö½á¹û£¬Çó°ïÖú£¡£¡£¡
ÒѾÓÐ10È˻ظ´
ÈçºÎÓÃmatlab»³öÁ½×éʵÑé²â¶¨Êý¾Ý¸ÅÂÊÃܶÈÇúÏߣ¬ÇóÁ½ÌõÇúÏßÖØµþ²¿·ÖÃæ»ý
ÒѾÓÐ8È˻ظ´
Ò»¸ö¼òµ¥µÄʽ×Ó£¬È´Ëã²»ÕýÈ·
ÒѾÓÐ10È˻ظ´
¸µÀïÒ¶Äæ±ä»» ƵÓòµ½Ê±Óò
ÒѾÓÐ3È˻ظ´
ÇóÖúmatlab»ý·ÖµÄÎÊÌâ
ÒѾÓÐ4È˻ظ´
matlabÇó»ý·Ö£¬³öÏÖÆæµãÔõô°ì£¿
ÒѾÓÐ8È˻ظ´
¡¾ÇóÖú¡¿matlabÇó½âÒ»¸ö¼òµ¥µÄ»ý·Ö£¨¼±£¡£¡£¡£©
ÒѾÓÐ7È˻ظ´
¡¾ÇóÖú¡¿deltaº¯Êýƽ·½ºó»ý·Ö
ÒѾÓÐ5È˻ظ´
¡¾ÇóÖú¡¿»ý·Ö΢·Ö·½³ÌmatlabÇó½â
ÒѾÓÐ6È˻ظ´
¡¾ÇóÖú¡¿³õѧmatlab
ÒѾÓÐ11È˻ظ´
¡¾ÇóÖú¡¿matlab »ý·ÖµÄÎÊÌâ
ÒѾÓÐ5È˻ظ´
¡¾ÇóÖú¡¿Ö»ÖªµÀÓÐÏÞ¸öº¯ÊýÖµÇó»ý·Ö
ÒѾÓÐ10È˻ظ´
¡¾ÇóÖú¡¿Ê¹ÓÃMatlabÔ¤¹À¶¯Á¦Ñ§·½³ÌÎÊÌâ
ÒѾÓÐ13È˻ظ´
1Â¥
2012-12-03 18:13:48
ÒÑÔÄ
»Ø¸´´ËÂ¥
¹Ø×¢TA
¸øTA·¢ÏûÏ¢
ËÍTAºì»¨
TAµÄ»ØÌû
situxuming
гæ
(³õÈëÎÄ̳)
Ó¦Öú: 1
(Ó×¶ùÔ°)
½ð±Ò: 46.3
Ìû×Ó: 31
ÔÚÏß: 12.1Сʱ
³æºÅ: 1279347
×¢²á: 2011-04-27
רҵ: °ëµ¼Ìå²ÄÁÏ
¡ï
jjdg: ½ð±Ò+1, ´ËÑÔÓÐÀí
2012-12-05 01:49:02
Â¥Ö÷²»×Ô¼ºÌùÉÏ´úÂ룬¿´µ½Õâô³¤µÄ±í´ïʽҪ×Ô¼ºÇã¬ÎÒÏëºÜ¶àÈ˶¼²»»á³¢ÊÔÈ¥°ïÄã½â¾öÁË
ÔÞ
Ò»ÏÂ
»Ø¸´´ËÂ¥
2Â¥
2012-12-04 14:33:04
ÒÑÔÄ
»Ø¸´´ËÂ¥
¹Ø×¢TA
¸øTA·¢ÏûÏ¢
ËÍTAºì»¨
TAµÄ»ØÌû
wangbin2010
½ð³æ
(СÓÐÃûÆø)
Ó¦Öú: 0
(Ó×¶ùÔ°)
½ð±Ò: 614.2
Ìû×Ó: 116
ÔÚÏß: 54.2Сʱ
³æºÅ: 959119
×¢²á: 2010-03-01
ÐÔ±ð: GG
רҵ: ½ðÊô²ÄÁϵÄÄý¹ÌÓë½á¾§Ñ§
ÒýÓûØÌû:
2Â¥
:
Originally posted by
situxuming
at 2012-12-04 14:33:04
Â¥Ö÷²»×Ô¼ºÌùÉÏ´úÂ룬¿´µ½Õâô³¤µÄ±í´ïʽҪ×Ô¼ºÇã¬ÎÒÏëºÜ¶àÈ˶¼²»»á³¢ÊÔÈ¥°ïÄã½â¾öÁË
syms u v w x y z r1 r2 d;
f =(w - z)/((u - x)^2 + (v - y)^2 + (w - z)^2)^(3/2);
ff1=int(int(int(int(int(int(f,x,-r1,r1),y,-r1,r1),z,d-r1,d+r1),u,-r2,r2),v,-r2,r2),w,-r2,2*d-r2);
Èç´Ë²¢²»ÄÜ»ý·Ö³öÀ´£¬ÎÒÒ²ÊÔ×ÅÖ»ÊÇ»ý·ÖÒ»²½£¬Ò»²½Ò²Ã»Óлý³öÀ´¡£
ÔÞ
Ò»ÏÂ
»Ø¸´´ËÂ¥
3Â¥
2012-12-04 19:21:19
ÒÑÔÄ
»Ø¸´´ËÂ¥
¹Ø×¢TA
¸øTA·¢ÏûÏ¢
ËÍTAºì»¨
TAµÄ»ØÌû
walk1997
½ð³æ
(ÖøÃûдÊÖ)
Ó¦Öú: 1
(Ó×¶ùÔ°)
½ð±Ò: 4676.2
ºì»¨: 22
Ìû×Ó: 1066
ÔÚÏß: 798.1Сʱ
³æºÅ: 416039
×¢²á: 2007-06-29
ÐÔ±ð: GG
רҵ: Á£×ÓÎïÀíѧºÍ³¡ÂÛ
¡ï
jjdg: ½ð±Ò+1, ÉõΪÔÞͬ
2012-12-05 01:49:25
ÒýÓûØÌû:
2Â¥
:
Originally posted by
situxuming
at 2012-12-04 14:33:04
Â¥Ö÷²»×Ô¼ºÌùÉÏ´úÂ룬¿´µ½Õâô³¤µÄ±í´ïʽҪ×Ô¼ºÇã¬ÎÒÏëºÜ¶àÈ˶¼²»»á³¢ÊÔÈ¥°ïÄã½â¾öÁË
µÄÈ· ÖÁÉÙ×Ô¼ºÉÔ΢¸øµãÔʼ´úÂë Òâ˼һÏÂ
²»È»¿´µÄÈË ÓÐʱºò Ïë³¢ÊÔҲͷ´ó
ÔÞ
Ò»ÏÂ
»Ø¸´´ËÂ¥
4Â¥
2012-12-04 21:05:13
ÒÑÔÄ
»Ø¸´´ËÂ¥
¹Ø×¢TA
¸øTA·¢ÏûÏ¢
ËÍTAºì»¨
TAµÄ»ØÌû
wangbin2010
½ð³æ
(СÓÐÃûÆø)
Ó¦Öú: 0
(Ó×¶ùÔ°)
½ð±Ò: 614.2
Ìû×Ó: 116
ÔÚÏß: 54.2Сʱ
³æºÅ: 959119
×¢²á: 2010-03-01
ÐÔ±ð: GG
רҵ: ½ðÊô²ÄÁϵÄÄý¹ÌÓë½á¾§Ñ§
ÒýÓûØÌû:
4Â¥
:
Originally posted by
walk1997
at 2012-12-04 21:05:13
µÄÈ· ÖÁÉÙ×Ô¼ºÉÔ΢¸øµãÔʼ´úÂë Òâ˼һÏÂ
²»È»¿´µÄÈË ÓÐʱºò Ïë³¢ÊÔҲͷ´ó...
лл¡£
»Ø¸´´ËÂ¥
5Â¥
2012-12-05 17:24:10
ÒÑÔÄ
»Ø¸´´ËÂ¥
¹Ø×¢TA
¸øTA·¢ÏûÏ¢
ËÍTAºì»¨
TAµÄ»ØÌû
Ïà¹Ø°æ¿éÌø×ª
µÚÒ»ÐÔÔÀí
Á¿×Ó»¯Ñ§
¼ÆËãÄ£Äâ
·Ö×ÓÄ£Äâ
·ÂտģÄâ
³ÌÐòÓïÑÔ
ÎÒÒª¶©ÔÄÂ¥Ö÷
wangbin2010
µÄÖ÷Ìâ¸üÐÂ
5
1/1
·µ»ØÁбí
Èç¹û»ØÌûÄÚÈݺ¬ÓÐÐû´«ÐÅÏ¢£¬ÇëÈçʵѡÖС£·ñÔòÕʺŽ«±»È«ÂÛ̳½ûÑÔ
ÆÕͨ±íÇé
Áú
ÍÃ
Ȣ
è
°Ù¶ÈÍøÅÌ
|
360ÔÆÅÌ
|
ǧÒ×ÍøÅÌ
|
»ªÎªÍøÅÌ
ÔÚд°¿ÚÒ³ÃæÖдò¿ª×Ô¼ºÏ²»¶µÄÍøÅÌÍøÕ¾£¬½«ÎļþÉÏ´«ºó£¬È»ºó½«ÏÂÔØÁ´½Ó¸´ÖƵ½Ìû×ÓÄÚÈÝÖоͿÉÒÔÁË¡£
×î¾ßÈËÆøÈÈÌûÍÆ¼ö
[²é¿´È«²¿]
×÷Õß
»Ø/¿´
×îºó·¢±í
[
¿¼ÑÐ
]
288Çóµ÷¼Á£¬Ò»Ö¾Ô¸»ªÄÏÀí¹¤´óѧ071005
+5
ioodiiij
2026-03-17
5/250
2026-03-19 18:22
by
zcl123
[
¿¼²©
]
¶«»ªÀí¹¤´óѧ»¯²Äרҵ26½ì˶ʿ²©Ê¿ÉêÇë
+8
zlingli
2026-03-13
8/400
2026-03-19 16:32
by
ÇáËɲ»ÉÙËæ
[
¿¼ÑÐ
]
085601²ÄÁϹ¤³Ìר˶Çóµ÷¼Á
+10
Ľº®mio
2026-03-16
10/500
2026-03-19 15:26
by
¶¡¶¡*
[
¿¼ÑÐ
]
Çóµ÷¼Á£¬Ò»Ö¾Ô¸:ÄϾ©º½¿Õº½Ìì´óѧ´óѧ £¬080500²ÄÁÏ¿ÆÑ§Ó빤³Ìѧ˶£¬×Ü·Ö289·Ö
+3
@taotao
2026-03-19
3/150
2026-03-19 14:07
by
peike
[
¿¼ÑÐ
]
0703»¯Ñ§µ÷¼Á
+5
pupcoco
2026-03-17
8/400
2026-03-19 13:58
by
houyaoxu
[
¿¼ÑÐ
]
Ò»Ö¾Ô¸Öк£Ñó²ÄÁϹ¤³Ìר˶330·ÖÇóµ÷¼Á
+7
С²Ä»¯±¾¿Æ
2026-03-18
7/350
2026-03-19 10:46
by
Linda Hu
[
¿¼ÑÐ
]
Ò»Ö¾Ô¸ÎäÀí²ÄÁÏ305·ÖÇóµ÷¼Á
+5
ÏëÉϰ¶µÄÀðÓã
2026-03-18
6/300
2026-03-18 17:53
by
Î޼ʵIJÝÔ
[
¿¼ÑÐ
]
085601ר˶£¬×Ü·Ö342Çóµ÷¼Á£¬µØÇø²»ÏÞ
+5
share_joy
2026-03-16
5/250
2026-03-18 14:48
by
haxia
[
¿¼ÑÐ
]
331Çóµ÷¼Á£¨0703Óлú»¯Ñ§
+7
ZY-05
2026-03-13
8/400
2026-03-18 14:13
by
007_lilei
[
¿¼ÑÐ
]
312Çóµ÷¼Á
+8
İå·Ï£
2026-03-16
9/450
2026-03-18 12:39
by
Linda Hu
[
¿¼ÑÐ
]
301Çóµ÷¼Á
+9
yyÒªÉϰ¶Ñ½
2026-03-17
9/450
2026-03-18 08:58
by
Î޼ʵIJÝÔ
[
¿¼ÑÐ
]
085601Çóµ÷¼Á
+4
Du.11
2026-03-16
4/200
2026-03-17 17:08
by
ruiyingmiao
[
¿¼ÑÐ
]
ÓÐûÓеÀÌú/ÍÁľµÄÏëµ÷¼ÁÄÏÁÖ£¬¸ø×Ô¼ºÕÐʦµÜÖС«
+3
TqlXswl
2026-03-16
7/350
2026-03-17 15:23
by
TqlXswl
[
¿¼ÑÐ
]
[µ¼Ê¦ÍƼö]Î÷ÄϿƼ¼´óѧ¹ú·À/²ÄÁϵ¼Ê¦ÍƼö
+3
¼â½ÇСºÉ
2026-03-16
6/300
2026-03-16 23:21
by
¼â½ÇСºÉ
[
¿¼ÑÐ
]
326Çóµ÷¼Á
+4
ŵ±´¶û»¯Ñ§½±êéê
2026-03-15
7/350
2026-03-16 17:11
by
ŵ±´¶û»¯Ñ§½±êéê
[
¿¼ÑÐ
]
327Çóµ÷¼Á
+6
ʰ¹âÈÎȾ
2026-03-15
11/550
2026-03-15 22:47
by
ʰ¹âÈÎȾ
[
¿¼ÑÐ
]
ÇóÀÏʦÊÕÁôµ÷¼Á
+4
jiang½ª66
2026-03-14
5/250
2026-03-15 20:11
by
Winj1e
[
¿¼ÑÐ
]
26¿¼ÑÐÒ»Ö¾Ô¸ÖйúʯÓÍ´óѧ(»ª¶«)305·ÖÇóµ÷¼Á
+3
¼ÎÄêгÌ
2026-03-15
3/150
2026-03-15 13:58
by
¹þ¹þ¹þ¹þºÙºÙºÙ
[
¿¼ÑÐ
]
297Çóµ÷¼Á
+4
ѧº£Æ¯²´
2026-03-13
4/200
2026-03-14 11:51
by
ÈÈÇéɳĮ
[
¿¼ÑÐ
]
ÕÐÊÕ0805£¨²ÄÁÏ£©µ÷¼Á
+3
18595523086
2026-03-13
3/150
2026-03-14 00:33
by
123%¡¢
ÐÅÏ¢Ìáʾ
¹Ø±Õ
ÇëÌî´¦ÀíÒâ¼û
¹Ø±Õ
È·¶¨