| ²é¿´: 1384 | »Ø¸´: 8 | ||
| ±¾Ìû²úÉú 1 ¸ö ÊýѧEPI £¬µã»÷ÕâÀï½øÐв鿴 | ||
whenydľ³æ (ÖøÃûдÊÖ)
Õ¬ÐÄÈʺñ
|
[ÇóÖú]
Çó½²½â»ù±ä»»Óë×ø±ê±ä»»µÄÁªÏµ
|
|
|
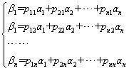
¶ÔÓÚ»ù±ä»» Ϊʲô×îºóµÃ³öB=APÁË£¬¶ÔÓ¦µÄ»ù±ä»»ÓÖÊÇʲô£¬ÔõÃ´ÍÆµ¼µÄ£¿ Ï£ÍûÓÐÈËÄÜÖ¸µãÏ£¬¶àлÁË£¡ δÃüÃû.JPG |
» ²ÂÄãϲ»¶
0703»¯Ñ§Çóµ÷¼Á£¬¸÷λÀÏʦ¿´¿´ÎÒ£¡£¡£¡
ÒѾÓÐ3È˻ظ´
339Çóµ÷¼Á
ÒѾÓÐ5È˻ظ´
287Çóµ÷¼Á
ÒѾÓÐ8È˻ظ´
Ò»Ö¾Ô¸±±¾©»¯¹¤´óѧ 070300 ѧ˶ 336·Ö Çóµ÷¼Á
ÒѾÓÐ8È˻ظ´
085602 »¯¹¤×¨Ë¶ 338·Ö Çóµ÷¼Á
ÒѾÓÐ5È˻ظ´
0856£¬²ÄÁÏÓ뻯¹¤321·ÖÇóµ÷¼Á
ÒѾÓÐ4È˻ظ´
Ò»Ö¾Ô¸±±¾©»¯¹¤´óѧ²ÄÁÏÓ뻯¹¤ 264·Ö¸÷¿Æ¹ýAÇø¹ú¼ÒÏß
ÒѾÓÐ10È˻ظ´
266Çóµ÷¼Á
ÒѾÓÐ8È˻ظ´
265Çóµ÷¼Á
ÒѾÓÐ3È˻ظ´
286Çóµ÷¼Á
ÒѾÓÐ6È˻ظ´
» ±¾Ö÷ÌâÏà¹Ø¼ÛÖµÌùÍÆ¼ö£¬¶ÔÄúͬÑùÓаïÖú:
Çë½ÌÒ»¸ö¸µÀïÒ¶±ä»»×ø±ê˳ÐòÎÊÌâ
ÒѾÓÐ5È˻ظ´
ÈçºÎÓø»Êϱ任ÇóһάKlein_Gordon·½³ÌµÄ»ù±¾½â
ÒѾÓÐ4È˻ظ´
ÇóÖú¹ØÓÚ¸µÁ¢Ò¶±ä»»µÄÎÊÌâ
ÒѾÓÐ15È˻ظ´
¹òÇó¸ßÊÖ°ïÖú£¬Æ½Ì¨Î»×ËÓÃÅ·À½Ç±ä»»µÃµ½ºÃ»¹ÊÇͨ¹ý¹Ì¶¨×ø±ê±ä»»µÃµ½ºÃ£¬·Ç³£¸Ðл£¡
ÒѾÓÐ4È˻ظ´
³ÏÇóorign7.5Ò»¸öͼÐα任µÄÎÊÌâ
ÒѾÓÐ4È˻ظ´
¡¾ÇóÖú¡¿¾§°ûÄÚ×ø±êÔõôÏòÖ±½Ç×ø±êת»»£¿
ÒѾÓÐ4È˻ظ´
¡¾ÇóÖú¡¿´ó¼Ò¿ÉÒÔ¸øÎÒ½²½²Á½¸ö¾ØÕóÖ®¼äµÄ±ä»»Ã´£¿
ÒѾÓÐ6È˻ظ´
¡¾ÇóÖú¡¿½ô¼±ÇóÖú£ºÈý½Çº¯ÊýµÄ¸µÀïÒ¶±ä»»
ÒѾÓÐ14È˻ظ´
¡¾ÇóÖú¡¿ÈçºÎ½øÐÐ×ø±êת»»£¿
ÒѾÓÐ10È˻ظ´
¡¾ÇóÖú¡¿ÓÐͼÇóÕæÏࣺÉú³ÉÂÝÐý¹ÜµÄÎÊÌâ£¨ÑØÂÝÐýÏ߱任׸±êϵ£¿£©
ÒѾÓÐ5È˻ظ´
¡¾ÇóÖú¡¿Çë½Ì½âÎö¼¸ºÎ¸ßÊÖ£º100½ð±ÒÇó×ø±êÈÎÒâת¶¯±ä»»µÄ½âÎö¹«Ê½
ÒѾÓÐ15È˻ظ´
¡¾ÇóÖú¡¿cadµÄ×ø±ê±ä»»
ÒѾÓÐ4È˻ظ´
¡¾×ªÌû¡¿GPSµÄ×ø±êϵͳ¼°×ø±êϵת»»-תÌù
ÒѾÓÐ6È˻ظ´

tihhit
ľ³æ (СÓÐÃûÆø)
- ÊýѧEPI: 1
- Ó¦Öú: 0 (Ó×¶ùÔ°)
- ½ð±Ò: 3636.8
- Ìû×Ó: 122
- ÔÚÏß: 54.1Сʱ
- ³æºÅ: 1214801
- ×¢²á: 2011-02-27
- רҵ: ¶¯Á¦Ñ§Óë¿ØÖÆ
¡¾´ð°¸¡¿Ó¦Öú»ØÌû
¡ï ¡ï ¡ï ¡ï ¡ï ¡ï ¡ï ¡ï ¡ï ¡ï ¡ï ¡ï ¡ï ¡ï
lovibond: ½ð±Ò+3, ÊýѧEPI+1, ·Ç³£Ïêϸ£¬½±ÀøEPIһö£¬¸Ðл³æÓѵÄÓ¦Öú 2012-11-11 20:58:55
whenyd: ½ð±Ò+10, ¡ï¡ï¡ï¡ï¡ï×î¼Ñ´ð°¸, лл£¬ºÜ¾ÃÁËÎÒÒÔΪ³ÁÁË£¬O(¡É_¡É)O¹þ¹þ~ 2012-11-11 23:29:10
whenyd: ½ð±Ò+1 2012-11-22 20:10:23
lovibond: ½ð±Ò+3, ÊýѧEPI+1, ·Ç³£Ïêϸ£¬½±ÀøEPIһö£¬¸Ðл³æÓѵÄÓ¦Öú 2012-11-11 20:58:55
whenyd: ½ð±Ò+10, ¡ï¡ï¡ï¡ï¡ï×î¼Ñ´ð°¸, лл£¬ºÜ¾ÃÁËÎÒÒÔΪ³ÁÁË£¬O(¡É_¡É)O¹þ¹þ~ 2012-11-11 23:29:10
whenyd: ½ð±Ò+1 2012-11-22 20:10:23
|
1,£¬»ù¾ÍÊÇ×ø±êϵ£¬²»Ì«¾«È·µØËµ£¬»ùÊÇÓÃÓÚÀ´²Î¿¼¶ÈÁ¿ÆäËüÁ¿µÄÒ»¸ö»ù×¼£¨°üÀ¨ÔµãλÖ㬵¥Î»³¤¶ÈºÍ·½Ïò£©£¬ ¹¹³ÉËùν»ùµÄµ¥Î»³¤¶ÈºÍ·½ÏòµÄÁ¿³ÆÎªµ¥Î»Ê¸Á¿£¬Ëü±¾ÉíÒ²ÊǿռäÖеÄÒ»¸öÎÞÈκÎÌØÊâÐԵĶ«Î÷£¬ËüÔÚÁ½¸ö×ø±êϵÏÂÒ²ÓзÖÁ¿±íʾ£¬Ö»²»¹ýÔÚÆä×ÔÉíϵÏÂΪ·ÖÁ¿ÎªÀàËÆ(1,0,0,..)µÄÐÎʽ£» 2. ×ø±ê±ä»»¾ÍÊǶÔͬһÏòÁ¿ÔÚÁ½×é²»Í¬×ø±êϵϵķÖÁ¿ÐÎʽ֮¼ä½¨Á¢±ä»»¹ØÏµ£» 3. »ù±ä»»¾ÍÊǰѹ¹³É»ùµÄÁ½×é¸÷n¸ö(Õý½»)ÏòÁ¿Ö®¼äµÄ±ä»»¹ØÏµ£» 4£¬×î¼òµ¥µÄÀý×Ó¾ÍÊǶþÎ¬Æ½ÃæÉϵı任£¬×ø±ê±ä»»ÊÇ¿¼²ìÒ»¸öÆ½ÃæÏòÁ¿ÔÚÔÚÁ½¸ö×ø±êϵϵķÖÁ¿Ö®¼äµÄ±ä»»¹ØÏµ£¬»ù±ä»»ÊÇ¿¼²ìÒ»¸ö×ø±êϵµÄÿһ¸öµ¥Î»ÖáÏòÁ¿ÔÚÁíÒ»¸ö×ø±êϵϵķÖÁ¿´óС£¬È»ºó°ÑÁ½¸öµ¥Î»×ø±êÏòÁ¿¹¹³ÉÒ»¸öÏòÁ¿¾ØÕó£» 5. ÓеÄÊéÉÏϰ¹ßÓÃÁÐÏòÁ¿£»ÓеÄÊéÉÏϰ¹ßÓÃÐÐÏòÁ¿À´±íʾһ¸ö×ø±ê×飬ÄãÌáµÄÎÊÌâÖÐÓõÄÊÇÐÐÏòÁ¿ÐÎʽ£¬Òò´Ë±ä»»¾ØÕóÊÇÓÒ³ËÐÎʽ£» 6 ×ø±ê±ä»»ºÍ¼°±ä»»µÄ±ä»»¾ØÕóÊÇͬһ¸ö£¬Èç¹ûÄãÁ˽â×Ë̬±ä»»µÄ»°£¬±ä»»¾ØÕó¾ÍÊÇ×Ë̬ÎÊÌâÖеÄ×Ë̬±ä»»¾ØÕó£» 7 ×Ë̬ÎÊÌâÊÇÈýάµÄ£¬ÊýѧÖÐÍùÍù»áÏò³éÏó¹ý¶É£¬Ï²»¶ÔÚnάÕý½»¿Õ¼äÖÐÀ´ÌÖÂÛ£¬ÆäʵÓë¶þά¡¢ÈýάûÓб¾ÖʵÄÇø±ð£» |

7Â¥2012-11-11 20:50:06
whenyd
ľ³æ (ÖøÃûдÊÖ)
Õ¬ÐÄÈʺñ
- Ó¦Öú: 47 (СѧÉú)
- ¹ó±ö: 0.108
- ½ð±Ò: 870
- É¢½ð: 3632
- ºì»¨: 45
- ɳ·¢: 1
- Ìû×Ó: 2061
- ÔÚÏß: 280.8Сʱ
- ³æºÅ: 2026623
- ×¢²á: 2012-09-24
- ÐÔ±ð: GG
- רҵ: È˹¤ÖÇÄÜÓë֪ʶ¹¤³Ì

2Â¥2012-10-02 23:59:55
whenyd
ľ³æ (ÖøÃûдÊÖ)
Õ¬ÐÄÈʺñ
- Ó¦Öú: 47 (СѧÉú)
- ¹ó±ö: 0.108
- ½ð±Ò: 870
- É¢½ð: 3632
- ºì»¨: 45
- ɳ·¢: 1
- Ìû×Ó: 2061
- ÔÚÏß: 280.8Сʱ
- ³æºÅ: 2026623
- ×¢²á: 2012-09-24
- ÐÔ±ð: GG
- רҵ: È˹¤ÖÇÄÜÓë֪ʶ¹¤³Ì

3Â¥2012-10-03 00:01:32
fengwanyao
Òø³æ (³õÈëÎÄ̳)
- Ó¦Öú: 1 (Ó×¶ùÔ°)
- ½ð±Ò: 271
- ºì»¨: 1
- Ìû×Ó: 41
- ÔÚÏß: 47.4Сʱ
- ³æºÅ: 678696
- ×¢²á: 2008-12-21
- ÐÔ±ð: GG
- רҵ: ¼ÆËãÊýѧÓë¿ÆÑ§¹¤³Ì¼ÆËã
4Â¥2012-10-03 12:11:34
whenyd
ľ³æ (ÖøÃûдÊÖ)
Õ¬ÐÄÈʺñ
- Ó¦Öú: 47 (СѧÉú)
- ¹ó±ö: 0.108
- ½ð±Ò: 870
- É¢½ð: 3632
- ºì»¨: 45
- ɳ·¢: 1
- Ìû×Ó: 2061
- ÔÚÏß: 280.8Сʱ
- ³æºÅ: 2026623
- ×¢²á: 2012-09-24
- ÐÔ±ð: GG
- רҵ: È˹¤ÖÇÄÜÓë֪ʶ¹¤³Ì

5Â¥2012-10-03 12:17:05
ºÎ´¦Âä³¾°£
ľ³æ (ÕýʽдÊÖ)
- Ó¦Öú: 45 (СѧÉú)
- ½ð±Ò: 2151.5
- Ìû×Ó: 379
- ÔÚÏß: 131.8Сʱ
- ³æºÅ: 1775405
- ×¢²á: 2012-04-24
- רҵ: ³£Î¢·Ö·½³ÌÓ붯Á¦ÏµÍ³

6Â¥2012-10-05 12:07:11
xiaohuasuper
Ìú³æ (СÓÐÃûÆø)
- Ó¦Öú: 3 (Ó×¶ùÔ°)
- ½ð±Ò: 861.2
- Ìû×Ó: 108
- ÔÚÏß: 26.5Сʱ
- ³æºÅ: 930978
- ×¢²á: 2009-12-20
- ÐÔ±ð: GG
- רҵ: ¼ÆËã»úÓ¦Óü¼Êõ

8Â¥2012-11-13 00:11:12
whenyd
ľ³æ (ÖøÃûдÊÖ)
Õ¬ÐÄÈʺñ
- Ó¦Öú: 47 (СѧÉú)
- ¹ó±ö: 0.108
- ½ð±Ò: 870
- É¢½ð: 3632
- ºì»¨: 45
- ɳ·¢: 1
- Ìû×Ó: 2061
- ÔÚÏß: 280.8Сʱ
- ³æºÅ: 2026623
- ×¢²á: 2012-09-24
- ÐÔ±ð: GG
- רҵ: È˹¤ÖÇÄÜÓë֪ʶ¹¤³Ì

9Â¥2012-11-13 10:32:01














»Ø¸´´ËÂ¥
whenyd