| 查看: 412 | 回复: 1 | |
[求助]
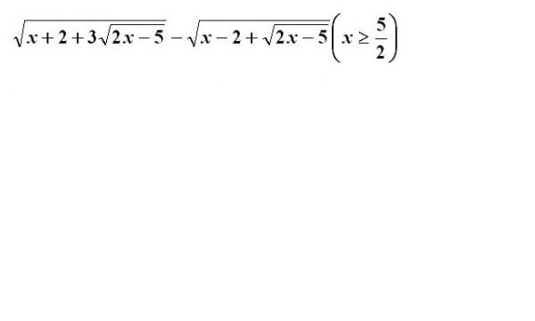
初中数学题一道5金币
|
|
|
|
|
lifefriend新虫 (小有名气)
|
|
|
2楼2012-09-22 16:48:46
|
|














回复此楼