| 查看: 985 | 回复: 12 | |
[求助]
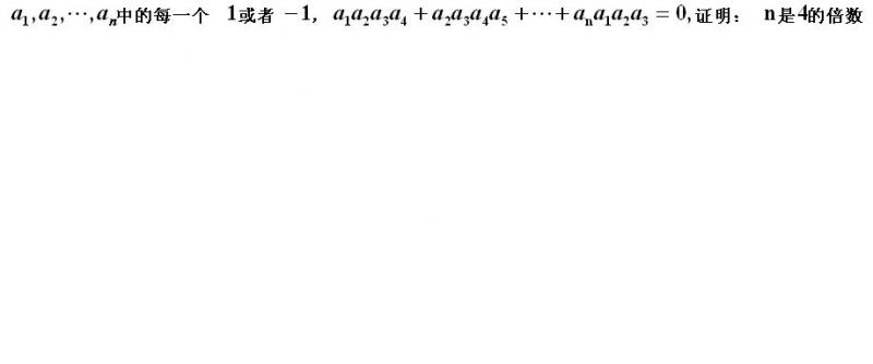
一到初中数学题5金币
|
|
|
|
|
![]() |
|
|
2楼2012-05-03 12:37:11
|
|
|
3楼2012-05-03 15:42:30
|
|
mygah至尊木虫 (职业作家)
|
|
![]() |
|
|
4楼2012-05-03 22:02:36
|
|
|
5楼2012-05-04 10:02:01
|
|
yegong5681木虫 (初入文坛)
|
|
![]() |
|
|
6楼2012-05-04 10:42:53
|
|
yegong5681木虫 (初入文坛)
|
|
![]() |
|
|
7楼2012-05-04 10:53:04
|
|
yegong5681木虫 (初入文坛)
|
|
![]() |
|
|
8楼2012-05-04 10:55:59
|
|
yegong5681木虫 (初入文坛)
|
|
![]() |
|
|
9楼2012-05-04 10:59:04
|
|
mygah至尊木虫 (职业作家)
|
|
![]() |
|
|
10楼2012-05-04 11:12:15
|
|














回复此楼
