| ²é¿´: 1501 | »Ø¸´: 7 | ||
zzycyyľ³æ (ÖøÃûдÊÖ)
|
[ÇóÖú]
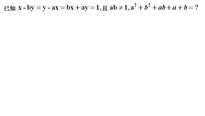
Ò»µÀ³õÖÐÊýѧÌâ5½ð±Ò
|
|
|
|
||
|
||
|
2Â¥2012-06-11 14:59:35
|
|
|
bluesineÌú¸Ëľ³æ (Ö°Òµ×÷¼Ò)
¿ÆÔ·Ð¡Ä¾³æ
|
||
![]() |
||
|
3Â¥2012-06-11 17:35:25
|
|
|
manengxuanľ³æ (СÓÐÃûÆø)
ľľ
|
||
|
4Â¥2012-06-11 18:51:37
|
|
|
ji_sirÌú¸Ëľ³æ (СÓÐÃûÆø)
|
||
|
5Â¥2012-06-12 01:36:00
|
|
|
bloodthirstryľ³æ (СÓÐÃûÆø)
|
||
|
6Â¥2012-06-12 13:26:36
|
|
|
huizhi1830Òø³æ (СÓÐÃûÆø)
|
||
|
7Â¥2012-06-13 11:02:33
|
|
|
CK260099080ͳæ (СÓÐÃûÆø)
|
||
![]() |
||
|
8Â¥2012-06-13 15:21:30
|
|













»Ø¸´´ËÂ¥

5