| 查看: 1353 | 回复: 4 | |
yyfeifei木虫 (正式写手)
|
[求助]
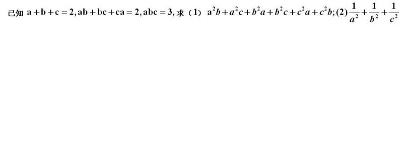
一道初中奥数题(5金币)
|
|
|
|
追梦泠然铁杆木虫 (著名写手)
|
|
|
2楼2012-05-02 14:02:22
|
|
why926565铁杆木虫 (正式写手)
|
|
|
3楼2012-05-02 15:11:49
|
|
追梦泠然铁杆木虫 (著名写手)
|
|
|
4楼2012-05-02 15:16:10
|
|
dzyk2003铁杆木虫 (著名写手)
|
|
|
5楼2012-05-03 15:51:07
|
|














回复此楼
5