| ²é¿´: 1696 | »Ø¸´: 8 | ||
jesseliuxl½ð³æ (СÓÐÃûÆø)
|
[ÇóÖú]
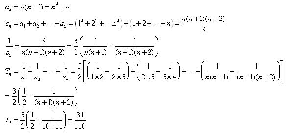
³õÒ»µÄ°ÂÊýÌâÕ¦¶¼ÕâôÄÑÁ˰¡
|
|
![]() |
||
|
|
||
dxwbuceaÌú³æ (ÖøÃûдÊÖ)
|
¡¾´ð°¸¡¿Ó¦Öú»ØÌû
¡ï ¡ï
¸Ðл²ÎÓ룬ӦÖúÖ¸Êý +1 soliton923(½ð±Ò+2): ºÇºÇ£¬³õÒ»µÄѧÉúºÜÉÙ»á±à³ÌµÄ°É~ллÄã¸ø³ö´ð°¸ 2012-01-29 23:16:38 jesseliuxl(½ð±Ò+2): 2012-01-30 10:20:00
|
|
|
2Â¥2012-01-29 21:25:24
|
|
|
orange9634ľ³æ (ÕýʽдÊÖ)
|
¡¾´ð°¸¡¿Ó¦Öú»ØÌû
¸Ðл²ÎÓ룬ӦÖúÖ¸Êý +1
jesseliuxl(½ð±Ò+5): ¡ï¡ï¡ï¡ï¡ï×î¼Ñ´ð°¸ 2012-01-30 10:19:41
|
|
![]() |
||
|
3Â¥2012-01-30 00:45:25
|
|
|
orange9634ľ³æ (ÕýʽдÊÖ)
|
||
![]() |
||
|
4Â¥2012-01-30 00:55:11
|
|
|
flora_5ľ³æ (ÕýʽдÊÖ)
|
¡¾´ð°¸¡¿Ó¦Öú»ØÌû
¸Ðл²ÎÓ룬ӦÖúÖ¸Êý +1
|
|
|
5Â¥2012-01-30 21:34:45
|
|
|
why926565Ìú¸Ëľ³æ (ÕýʽдÊÖ)
|
||
|
6Â¥2012-05-02 15:40:22
|
|
|
why926565Ìú¸Ëľ³æ (ÕýʽдÊÖ)
|
||
|
7Â¥2012-05-02 16:55:03
|
|
|
why926565Ìú¸Ëľ³æ (ÕýʽдÊÖ)
|
||
|
8Â¥2012-05-02 19:25:35
|
|
|
why926565Ìú¸Ëľ³æ (ÕýʽдÊÖ)
|
||
|
9Â¥2012-05-02 20:25:47
|
|














»Ø¸´´ËÂ¥