| 查看: 847 | 回复: 6 | |
[求助]
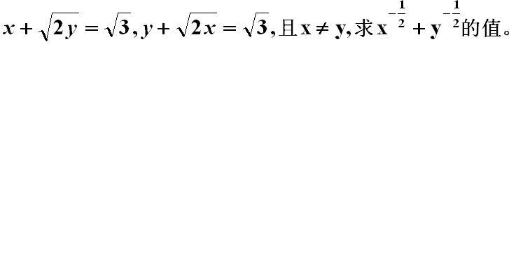
一道初中数学题5金币
|
|
|
|
|
yegong5681木虫 (初入文坛)
|
|
![]() |
|
|
2楼2012-05-15 13:01:44
|
|
wangxd0228木虫 (著名写手)
|
|
![]() |
|
|
3楼2012-05-15 13:05:28
|
|
wangxd0228木虫 (著名写手)
|
|
![]() |
|
|
4楼2012-05-15 13:07:07
|
|
yegong5681木虫 (初入文坛)
|
|
![]() |
|
|
5楼2012-05-15 13:15:20
|
|
|
6楼2012-05-17 15:36:06
|
|
zaimeng155至尊木虫 (知名作家)
山巅海尽丨千古奇峰
|
|
![]() |
|
|
7楼2012-10-06 11:21:33
|
|














回复此楼

不错