| ²é¿´: 1068 | »Ø¸´: 4 | ||
ëºïµÄСµÜ½ð³æ (ÖªÃû×÷¼Ò)
|
[ÇóÖú]
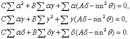
ÇóÖú×îС¶þ³Ë·¨ÄâºÏ
|
|
|
|
||
kabaisunר¼Ò¹ËÎÊ (ÕýʽдÊÖ)
|
¡¾´ð°¸¡¿Ó¦Öú»ØÌû
¡ï ¡ï ¡ï ¡ï ¡ï ¡ï ¡ï ¡ï ¡ï ¡ï
¸Ðл²ÎÓ룬ӦÖúÖ¸Êý +1 ëºïµÄСµÜ: ½ð±Ò+10, ¡ï¡ï¡ï¡ï¡ï×î¼Ñ´ð°¸, 3Q 2012-09-10 22:15:40
|
|
![]() |
||
|
2Â¥2012-09-10 19:55:00
|
|
|
ëºïµÄСµÜ½ð³æ (ÖªÃû×÷¼Ò)
|
||
|
3Â¥2012-09-10 20:10:11
|
|
|
ëºïµÄСµÜ½ð³æ (ÖªÃû×÷¼Ò)
|
||
|
4Â¥2012-09-10 22:15:29
|
|
|
ëºïµÄСµÜ½ð³æ (ÖªÃû×÷¼Ò)
|
||
|
5Â¥2012-09-11 12:13:11
|
|














»Ø¸´´ËÂ¥
