| 查看: 1695 | 回复: 4 | ||
[交流]
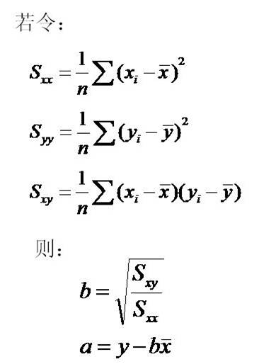
【求助】最小二乘法确定回归曲线的问题 已有4人参与
|
» 本主题相关价值贴推荐,对您同样有帮助:
谁懂迭代加权最小二乘法,能否给讲下原理
已经有6人回复
在matlab中拟合曲面的表达式
已经有29人回复
递推最小二乘法在什么书本中有详细的讲解和matlab仿真介绍?
已经有5人回复
matlab用多元线性最小二乘法求解多元线性方程的问题
已经有11人回复
关于用lstopt进行非线性最小二乘法回归问题
已经有5人回复
非线性最小二乘法编程问题
已经有8人回复
求助非线性最小二乘法
已经有5人回复
【求助】最小二乘法怎么做?
已经有4人回复
【求助】应用加权最小二乘法做标准曲线
已经有4人回复
【其他】如何进行最小二乘法的曲线拟合 或 给个最小二乘拟合软件
已经有6人回复

2楼2011-02-28 14:30:46
cxy1010
金虫 (小有名气)
- 应助: 0 (幼儿园)
- 金币: 1413.7
- 帖子: 94
- 在线: 54.1小时
- 虫号: 1191283
- 注册: 2011-01-17
- 性别: GG
- 专业: 女性生殖系统结构、功能与

3楼2011-02-28 15:14:01
★
小木虫(金币+0.5):给个红包,谢谢回帖交流
小木虫(金币+0.5):给个红包,谢谢回帖交流
|
本帖内容被屏蔽 |
4楼2011-02-28 17:53:30

5楼2011-02-28 19:16:51














回复此楼