| ²é¿´: 2208 | »Ø¸´: 7 | |||
ͿͿľ½ð³æ (ÕýʽдÊÖ)
|
[ÇóÖú]
×îС¶þ³Ë·¨ÄâºÏ£¬·¢ÏÖ£¬Æ½·½²îºÍÆ«´ó£¬ÕâÊÇʲôÔÒò°¡£¬Çë½Ì¸÷λ¿ÉÄܵÄÔÒò
|
|
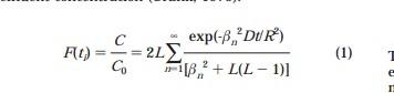
×îС¶þ³Ë·¨ÄâºÏ£¬·¢ÏÖ£¬Æ½·½²îºÍÆ«´ó£¬ÕâÊÇʲôÔÒò°¡£¬Çë½Ì¸÷λ¿ÉÄܵÄÔÒò£¬ [~,S]=lsqnonlin(@taoget, tao0, [], [], [], C_i, t_i, beta_n, L, m);Ï£ÍûÕâ¸öֵСÓÚ10-6£¬µ«ÊÇÔËËã½á¹ûºÜ´ó£¬Ôì³ÉÕâ¸öÔÒòÊÇʲôÒýÆðµÄ°¡£¬Çó½Ì¸÷λ´óÏÀÁË£¬ÎÒÊDzËÄñ |
» ²ÂÄãϲ»¶
283Çóµ÷¼Á 086004¿¼Ó¢¶þÊý¶þ
ÒѾÓÐ10È˻ظ´
22408 327·ÖÇóµ÷¼Á
ÒѾÓÐ3È˻ظ´
0831ÉúÒ½¹¤µÚÒ»ÂÖµ÷¼Áʧ°ÜÇóÖú
ÒѾÓÐ12È˻ظ´
»úеר˶270Çóµ÷¼Á£¬½ÓÊÜ¿çרҵ
ÒѾÓÐ12È˻ظ´
288Çóµ÷¼Á
ÒѾÓÐ15È˻ظ´
293Çóµ÷¼Á
ÒѾÓÐ5È˻ظ´
271Çóµ÷¼Á
ÒѾÓÐ5È˻ظ´
Ò»Ö¾Ô¸¹þ¹¤´ó 085600 277 12²Ä¿Æ»ùÇóµ÷¼Á
ÒѾÓÐ19È˻ظ´
272·Ö²ÄÁÏ×ÓÇóµ÷¼Á
ÒѾÓÐ38È˻ظ´
µçÆø¹¤³Ìר˶320Çóµ÷¼Á
ÒѾÓÐ3È˻ظ´
» ±¾Ö÷ÌâÏà¹Ø¼ÛÖµÌùÍÆ¼ö£¬¶ÔÄúͬÑùÓаïÖú:
¡¾ÇóÖú¡¿×îС¶þ³Ë·¨µÄÄâºÏÎÊÌâ
ÒѾÓÐ4È˻ظ´

baobiao007
ľ³æ (Ö°Òµ×÷¼Ò)
ÖйúÌØÉ«
- Ó¦Öú: 201 (´óѧÉú)
- ½ð±Ò: 6482.7
- É¢½ð: 557
- ºì»¨: 40
- Ìû×Ó: 3050
- ÔÚÏß: 1009.9Сʱ
- ³æºÅ: 505962
- ×¢²á: 2008-02-18
- רҵ: Ó¦ÓõØÇòÎïÀíѧ

2Â¥2012-09-17 16:46:20
nono2009
³¬¼¶°æÖ÷ (ÎÄѧ̩¶·)
No gains, no pains.
-

ר¼Ò¾Ñé: +21105 - ·ÂÕæEPI: 1
- Ó¦Öú: 28684 (Ժʿ)
- ¹ó±ö: 513.911
- ½ð±Ò: 2555230
- É¢½ð: 27828
- ºì»¨: 2148
- ɳ·¢: 66666
- Ìû×Ó: 1602255
- ÔÚÏß: 65200.9Сʱ
- ³æºÅ: 827383
- ×¢²á: 2009-08-13
- ÐÔ±ð: GG
- רҵ: ¹¤³ÌÈÈÎïÀíÓëÄÜÔ´ÀûÓÃ
- ¹ÜϽ: ¿ÆÑмҳﱸίԱ»á
3Â¥2012-09-17 16:57:32
allen_baobao
ÖÁ×ðľ³æ (Ö°Òµ×÷¼Ò)
- Ó¦Öú: 102 (¸ßÖÐÉú)
- ½ð±Ò: 10427.5
- É¢½ð: 3367
- ºì»¨: 31
- Ìû×Ó: 3801
- ÔÚÏß: 3664.4Сʱ
- ³æºÅ: 1175925
- ×¢²á: 2010-12-23
- רҵ: ¿ØÖÆÀíÂÛÓë·½·¨

4Â¥2012-09-17 17:39:59
allen_baobao
ÖÁ×ðľ³æ (Ö°Òµ×÷¼Ò)
- Ó¦Öú: 102 (¸ßÖÐÉú)
- ½ð±Ò: 10427.5
- É¢½ð: 3367
- ºì»¨: 31
- Ìû×Ó: 3801
- ÔÚÏß: 3664.4Сʱ
- ³æºÅ: 1175925
- ×¢²á: 2010-12-23
- רҵ: ¿ØÖÆÀíÂÛÓë·½·¨

5Â¥2012-09-17 17:40:25
ͿͿľ
½ð³æ (ÕýʽдÊÖ)
- Ó¦Öú: 0 (Ó×¶ùÔ°)
- ½ð±Ò: 169.3
- É¢½ð: 7
- ºì»¨: 1
- Ìû×Ó: 322
- ÔÚÏß: 38.6Сʱ
- ³æºÅ: 681538
- ×¢²á: 2008-12-25
- ÐÔ±ð: MM
- רҵ: ´ß»¯»¯Ñ§

6Â¥2012-09-17 20:49:45
ͿͿľ
½ð³æ (ÕýʽдÊÖ)
- Ó¦Öú: 0 (Ó×¶ùÔ°)
- ½ð±Ò: 169.3
- É¢½ð: 7
- ºì»¨: 1
- Ìû×Ó: 322
- ÔÚÏß: 38.6Сʱ
- ³æºÅ: 681538
- ×¢²á: 2008-12-25
- ÐÔ±ð: MM
- רҵ: ´ß»¯»¯Ñ§

7Â¥2012-09-17 20:54:13
ͿͿľ
½ð³æ (ÕýʽдÊÖ)
- Ó¦Öú: 0 (Ó×¶ùÔ°)
- ½ð±Ò: 169.3
- É¢½ð: 7
- ºì»¨: 1
- Ìû×Ó: 322
- ÔÚÏß: 38.6Сʱ
- ³æºÅ: 681538
- ×¢²á: 2008-12-25
- ÐÔ±ð: MM
- רҵ: ´ß»¯»¯Ñ§

8Â¥2012-09-18 09:46:57













»Ø¸´´ËÂ¥