| 查看: 3869 | 回复: 1 | ||
[求助]
关于一个公式中两个求和交换位置的问题
|
|
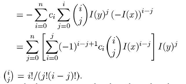
也许大虾门觉得很简单吧,但是这个问题确实困扰了我好久了(注:我搜了下,有个相似的问题,但是实在没看懂,所以。。) 想问下,这个公式交换求和是否成立?如果成立,根据什么定理? 如果不成立,应该怎么修改?需要注意的是,我需要把I(y)^j拿到第1个求和符号中,使得第二个求和与I(y)无关 补充说明:1、I(x)I(y)都是0-1的实数;2、ci是实数 希望能有大侠尽快帮我解决问题,不胜感激啊!!! |
» 猜你喜欢
材料求调剂一志愿哈工大324
已经有5人回复
一志愿哈尔滨工业大学材料与化工方向336分
已经有5人回复
0856材料化工调剂 总分330
已经有9人回复
085602 化工专硕 338分 求调剂
已经有9人回复
352分 化工与材料
已经有4人回复
求调剂
已经有8人回复
材料求调剂 一志愿哈工大总分298分,前三科223分
已经有3人回复
085600 286分 材料求调剂
已经有4人回复
求调剂
已经有7人回复
275求调剂
已经有10人回复
» 本主题相关价值贴推荐,对您同样有帮助:
组合数公式在自然数高次幂数列求和中的应用
已经有14人回复
请问这个公式如何求解?
已经有4人回复
如何根据几个点来拟合出一个面呢?
已经有9人回复
Σ 求和指标,互换时候,最后结果在什么情况下不变。如图所示
已经有10人回复
二维锰的磁性拟合公式,有两个不同的磁交换作用
已经有15人回复
求助一个矢量公式的推导
已经有3人回复
我的MATLAB 公式代码,怎么一直提示 错误
已经有3人回复
求助积分求导的问题,如何从第一步推导第二步?
已经有8人回复
关于求和公式的计算
已经有4人回复
求助:西格玛求和公式推导问题
已经有19人回复
急求matlab级数求和及其画图显示(公式见图片)
已经有8人回复

2楼2012-08-12 10:22:24














回复此楼