±±¾©Ê¯ÓÍ»¯¹¤Ñ§Ôº2026ÄêÑо¿ÉúÕÐÉú½ÓÊÕµ÷¼Á¹«¸æ
²é¿´: 974  |  »Ø¸´: 4

allengjn

гæ (ÕýʽдÊÖ)

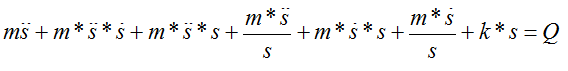
[ÇóÖú] ÇëÎÊÕâ¸ö¹«Ê½ÈçºÎÇó½â£¿ ÒÑÓÐ2È˲ÎÓë

ÇëÎÊÕâÖÖñîºÏ±È½ÏÀ÷º¦µÄ·½³ÌÄÜÇó½âÂð£¿Ê¹ÓÃʲô·½·¨Çó½â£¿²»ÖªµÀÁú¸ñ¿âËþ·¨»òÕßnewmark·¨ÄÜÇó½âÂð£¿ÇóÖ¸µ¼

ÇëÎÊÕâ¸ö¹«Ê½ÈçºÎÇó½â£¿
gongshi1.png
»Ø¸´´ËÂ¥

» ²ÂÄãϲ»¶

» ±¾Ö÷ÌâÏà¹Ø¼ÛÖµÌùÍÆ¼ö£¬¶ÔÄúͬÑùÓаïÖú:

ÒÑÔÄ   »Ø¸´´ËÂ¥   ¹Ø×¢TA ¸øTA·¢ÏûÏ¢ ËÍTAºì»¨ TAµÄ»ØÌû

hylpy

ר¼Ò¹ËÎÊ (ÖªÃû×÷¼Ò)

††ÂïÄØ°Èßä…Ë

¡¾´ð°¸¡¿Ó¦Öú»ØÌû

¸Ðл²ÎÓ룬ӦÖúÖ¸Êý +1
ÕâÖÖ´ÓÊéÉÏÇÐÏÂÒ»¸öʽ×Ó,¶øÇÒʲôҲ²»×¢½â,±ðÈËÔõô»Ø´ð?ÌáÎÊÌâÒ²Ó¦¸ÃÓÐЩ³ÏÒâ°É
·²Ê£¬Ò»Ð¦¶ø¹ý¡£¡£¡£¡£¡£¡£
2Â¥2014-10-02 06:21:43
ÒÑÔÄ   »Ø¸´´ËÂ¥   ¹Ø×¢TA ¸øTA·¢ÏûÏ¢ ËÍTAºì»¨ TAµÄ»ØÌû

terry_neu

Í­³æ (ÕýʽдÊÖ)

¡¾´ð°¸¡¿Ó¦Öú»ØÌû

¡ï
¸Ðл²ÎÓ룬ӦÖúÖ¸Êý +1
allengjn: ½ð±Ò+1, ¡ïÓаïÖú 2014-10-02 22:13:51
Áú¸ñ¿âËþ·¨£¬¿ÉÒÔ»ñµÃÊýÖµ½â£¬ÏȽµ½×£¬½«³ÉÒ»½×µÄ£¬È»ºóʹÓÃode23»òÕßode45.×£Äã˳Àû
3Â¥2014-10-02 06:25:07
ÒÑÔÄ   »Ø¸´´ËÂ¥   ¹Ø×¢TA ¸øTA·¢ÏûÏ¢ ËÍTAºì»¨ TAµÄ»ØÌû

allengjn

гæ (ÕýʽдÊÖ)

ÒýÓûØÌû:
2Â¥: Originally posted by hylpy at 2014-10-02 06:21:43
ÕâÖÖ´ÓÊéÉÏÇÐÏÂÒ»¸öʽ×Ó,¶øÇÒʲôҲ²»×¢½â,±ðÈËÔõô»Ø´ð?ÌáÎÊÌâÒ²Ó¦¸ÃÓÐЩ³ÏÒâ°É

¶î£¬»¹ÒªÊ²Ã´×¢ÊÍ£¿Õâ¸öÊÇÎÒ×öÏîĿʱÓõ½µÄ£¬¾ÍÊÇÒ»¸öñîºÏµÄ±È½ÏÀ÷º¦µÄ¶¯Á¦Ñ§·½³Ì£¬m¡¢c¡¢k¡¢Q¶¼ÊÇÒÑÖªµÄ£¬sÊÇδ֪Á¿£¬ÈçºÎÇó½â
4Â¥2014-10-02 09:56:01
ÒÑÔÄ   »Ø¸´´ËÂ¥   ¹Ø×¢TA ¸øTA·¢ÏûÏ¢ ËÍTAºì»¨ TAµÄ»ØÌû

allengjn

гæ (ÕýʽдÊÖ)

ÒýÓûØÌû:
3Â¥: Originally posted by terry_neu at 2014-10-02 06:25:07
Áú¸ñ¿âËþ·¨£¬¿ÉÒÔ»ñµÃÊýÖµ½â£¬ÏȽµ½×£¬½«³ÉÒ»½×µÄ£¬È»ºóʹÓÃode23»òÕßode45.×£Äã˳Àû

¿ÉÒÔʹÓÃÁú¸ñ¿âËþÇó½âÂ𣿽«¶þ½×µ¼ÊýddsÌá³öÀ´·Åµ½µÈʽ×ó±ß£¬È»ºó´øÈë»ØÈ¥£¿¶øÇÒÈç¹û¶Ô¶þ½×µ¼ÊýddsÕûÀí£¬»áÐγÉÒ»¸ödds³ËÒÔÒ»¸ö±í´ïʽ£¬Õâ¸ö±í´ïÊÇÈç¹ûΪÁãÔõô°ì
5Â¥2014-10-02 09:58:48
ÒÑÔÄ   »Ø¸´´ËÂ¥   ¹Ø×¢TA ¸øTA·¢ÏûÏ¢ ËÍTAºì»¨ TAµÄ»ØÌû
Ïà¹Ø°æ¿éÌø×ª ÎÒÒª¶©ÔÄÂ¥Ö÷ allengjn µÄÖ÷Ìâ¸üÐÂ
×î¾ßÈËÆøÈÈÌûÍÆ¼ö [²é¿´È«²¿] ×÷Õß »Ø/¿´ ×îºó·¢±í
[¿¼ÑÐ] ±¾¿Æ211£¬293·ÖÇëÇóµ÷¼Á +8 Á«²Ë¾ÍÊÇź°É 2026-04-03 9/450 2026-04-05 19:12 by À¶ÔÆË¼Óê
[¿¼ÑÐ] 301Çóµ÷¼Á +3 XYPLR 2026-04-05 4/200 2026-04-05 19:07 by XYPLR
[¿¼ÑÐ] 288Çóµ÷¼Á +7 ûÓдð°¸_ 2026-04-05 7/350 2026-04-05 17:01 by yulian1987
[¿¼ÑÐ] 083200 333Çóµ÷¼Á +3 Ê®¶þ£¡£¡ 2026-04-04 3/150 2026-04-05 08:28 by barlinike
[¿¼ÑÐ] 316Çóµ÷¼Á +9 Ä«³½_Orion926 2026-04-04 9/450 2026-04-04 21:35 by lbsjt
[¿¼ÑÐ] µ÷¼Á +9 19945159693 2026-04-03 10/500 2026-04-04 20:16 by dongzh2009
[¿¼ÑÐ] ²ÄÁÏרҵ383Çóµ÷¼Á +8 ¹ùÑôÑôÑô³É 2026-04-03 8/400 2026-04-04 10:29 by Rednal.
[¿¼ÑÐ] µ÷¼Á0855-288 +5 xÐܶþa 2026-04-03 5/250 2026-04-04 00:19 by Öí»á·É
[¿¼ÑÐ] Çóµ÷¼Á£¬Ò»Ö¾Ô¸±±¾©ÖÐÒ½Ò©´óѧ +3 СС´ï²»Áï 2026-04-02 3/150 2026-04-03 22:55 by ³åʸêÄÐÇÍÅ
[¿¼ÑÐ] 085601Ò»Ö¾Ô¸±±Àí325·ÖÇóµ÷¼Á +6 ÕÒµ÷¼Á£¬£¬ 2026-04-02 6/300 2026-04-03 22:20 by –¹Æ?
[¿¼ÑÐ] Çóµ÷¼Á +4 ѹÁ¦??´ó 2026-04-03 4/200 2026-04-03 21:36 by à£à£à£0119
[¿¼ÑÐ] 285Çóµ÷¼Á +6 FZAC123 2026-03-30 6/300 2026-04-03 12:22 by xingguangj
[¿¼ÑÐ] ÍÁľˮÀû328·ÖÇóµ÷¼Á +6 ¼²·çÖª¾¢²Ý666 2026-04-02 6/300 2026-04-03 11:38 by znian
[¿¼ÑÐ] 273Çóµ÷¼Á +20 ÀîÜÆÐÂ1 2026-03-31 20/1000 2026-04-03 09:58 by linyelide
[¿¼ÑÐ] µ÷¼Á +3 osbbx 2026-04-02 3/150 2026-04-03 07:47 by cc8418
[¿¼ÑÐ] Ò»Ö¾Ô¸ÉÂÎ÷ʦ·¶´óѧÉúÎïѧ317·Ö +5 1563ÈÕ¡£ 2026-04-02 5/250 2026-04-03 06:58 by ilovexiaobin
[¿¼²©] É격ÇóÖú +3 Reee1Llll 2026-04-01 3/150 2026-04-02 22:29 by ÕâÊÇÒ»¸öÎÞÁĵÄê
[¿¼ÑÐ] ÍÁľ304Çóµ÷¼Á +4 ÍÃͻͻͻ£¬ 2026-04-02 5/250 2026-04-02 21:16 by ÍÃͻͻͻ£¬
[¿¼ÑÐ] 22408 266Çóµ÷¼Á +3 masss11222 2026-04-02 3/150 2026-04-02 18:11 by ±ÊÂä½õÖÝ
[¿¼ÑÐ] ²ÄÁϵ÷¼Á +11 Ò»ÑùYWY 2026-03-31 11/550 2026-04-01 11:35 by wangjy2002
ÐÅÏ¢Ìáʾ
ÇëÌî´¦ÀíÒâ¼û