版块导航
正在加载中...
客户端APP下载
论文辅导
申博辅导
登录
注册
帖子
帖子
用户
本版
应《网络安全法》要求,自2017年10月1日起,未进行实名认证将不得使用互联网跟帖服务。为保障您的帐号能够正常使用,请尽快对帐号进行手机号验证,感谢您的理解与支持!
24小时热门版块排行榜
>
论坛更新日志
(3773)
>
文献求助
(263)
>
导师招生
(194)
>
考博
(126)
>
硕博家园
(98)
>
虫友互识
(87)
>
论文投稿
(65)
>
休闲灌水
(64)
>
招聘信息布告栏
(62)
>
博后之家
(57)
>
考研
(57)
>
公派出国
(51)
>
论文道贺祈福
(40)
>
找工作
(35)
>
基金申请
(34)
>
绿色求助(高悬赏)
(32)
小木虫论坛-学术科研互动平台
»
专业学科区
»
数学
»
基础数学
»
关于求和公式的计算
5
1/1
返回列表
查看: 897 | 回复: 4
只看楼主
@他人
存档
新回复提醒
(忽略)
收藏
在APP中查看
笨笨姐
木虫
(正式写手)
应助: 0
(幼儿园)
金币: 2681.4
散金: 232
红花: 3
帖子: 999
在线: 260.1小时
虫号: 1160840
注册: 2010-12-02
性别:
MM
专业: 环境微生物学
[
求助
]
关于求和公式的计算
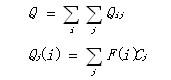
请问这样带求和符号的公式怎么计算来着?高数距离时间太久远了。
上下标的意义,两个求和符号计算时怎么算呢?
求高人指点一二,不胜感激!
回复此楼
» 猜你喜欢
Bioresource Technology期刊,第一次返修的时候被退回好几次了
已经有6人回复
2025冷门绝学什么时候出结果
已经有4人回复
真诚求助:手里的省社科项目结项要求主持人一篇中文核心,有什么渠道能发核心吗
已经有8人回复
寻求一种能扛住强氧化性腐蚀性的容器密封件
已经有5人回复
论文投稿,期刊推荐
已经有6人回复
请问哪里可以有青B申请的本子可以借鉴一下。
已经有4人回复
孩子确诊有中度注意力缺陷
已经有14人回复
请问下大家为什么这个铃木偶联几乎不反应呢
已经有5人回复
请问有评职称,把科研教学业绩算分排序的高校吗
已经有5人回复
天津工业大学郑柳春团队欢迎化学化工、高分子化学或有机合成方向的博士生和硕士生加入
已经有4人回复
» 本主题相关价值贴推荐,对您同样有帮助:
帮忙看一下吉林大学马琰铭老师这篇关于热电计算的文章,期待和感谢
已经有11人回复
分层计算和公式E oniom= E high(model) +E low(real)-E low(model)之间关系的疑问
已经有4人回复
毕设,数学相关专业,求指导!
已经有18人回复
用matlab统计图片中某种颜色成分占总图片中所有颜色成分的比率
已经有4人回复
求助:西格玛求和公式推导问题
已经有19人回复
急求matlab级数求和及其画图显示(公式见图片)
已经有8人回复
关于纤维增强树脂理论强度计算
已经有7人回复
【求助】有没有研究差分吸收光谱技术的?【已搜索无重复】
已经有9人回复
有所作为
1楼
2012-05-16 09:05:39
已阅
回复此楼
关注TA
给TA发消息
送TA红花
TA的回帖
nandehutu9327
至尊木虫
(职业作家)
应助: 279
(大学生)
金币: 18134.7
散金: 780
红花: 5
沙发: 2
帖子: 4555
在线: 590.4小时
虫号: 784367
注册: 2009-06-01
性别: GG
专业: 控制理论与方法
【答案】应助回帖
★ ★
感谢参与,应助指数 +1
小雨萌萌: 金币+1, 感谢参与
2012-05-16 18:56:30
笨笨姐: 金币+1,
★★★
很有帮助, 谢谢补充内容
2012-05-17 13:26:37
关于 i 的求和公式F(i)关于 j 的求和公式C(j)
赞
一下
回复此楼
2楼
2012-05-16 11:03:09
已阅
回复此楼
关注TA
给TA发消息
送TA红花
TA的回帖
yeying1989
铜虫
(初入文坛)
应助: 3
(幼儿园)
金币: 185.1
帖子: 48
在线: 15小时
虫号: 1440257
注册: 2011-10-13
专业: 高分子合成化学
【答案】应助回帖
★ ★
感谢参与,应助指数 +1
笨笨姐: 金币+2,
★★★
很有帮助, 谢谢!那第二个要想求总和的话,是不是得把Q的下标j去掉呢
2012-05-16 13:37:02
第一个q是从q11开始先加到q1j,然后再从q21开始加到q2j,接下来是q31组,q41组,一直到qi1这组,最后把所有的组的和加起来。
第二个应该是关于自变量i的函数的集合,对每个不同的j的值,都是一个不同的函数Qj(i)。函数就是F(i)C1一直加到F(i)Cj
赞
一下
(1人)
回复此楼
3楼
2012-05-16 13:27:53
已阅
回复此楼
关注TA
给TA发消息
送TA红花
TA的回帖
笨笨姐
木虫
(正式写手)
应助: 0
(幼儿园)
金币: 2681.4
散金: 232
红花: 3
帖子: 999
在线: 260.1小时
虫号: 1160840
注册: 2010-12-02
性别:
MM
专业: 环境微生物学
引用回帖:
2楼
:
Originally posted by
nandehutu9327
at 2012-05-16 11:03:09:
关于 i 的求和公式F(i)关于 j 的求和公式C(j)
详细一点吧
回复此楼
有所作为
4楼
2012-05-16 13:35:56
已阅
回复此楼
关注TA
给TA发消息
送TA红花
TA的回帖
yeying1989
铜虫
(初入文坛)
应助: 3
(幼儿园)
金币: 185.1
帖子: 48
在线: 15小时
虫号: 1440257
注册: 2011-10-13
专业: 高分子合成化学
引用回帖:
3楼
:
Originally posted by
yeying1989
at 2012-05-16 13:27:53:
第一个q是从q11开始先加到q1j,然后再从q21开始加到q2j,接下来是q31组,q41组,一直到qi1这组,最后把所有的组的和加起来。
第二个应该是关于自变量i的函数的集合,对每个不同的j的值,都是一个不同的函数Qj(i ...
第二个表示的是一个集合,是个函数的集合,对应的每个j的值就有一个函数Qj(i)。求函数值的话可以先确定i和j的值然后求各项F(i)Cj的和。第一个是个数,第二个是函数
赞
一下
回复此楼
5楼
2012-05-17 10:31:58
已阅
回复此楼
关注TA
给TA发消息
送TA红花
TA的回帖
相关版块跳转
数理科学综合
机械
物理
数学
农林
食品
地学
能源
信息科学
土木建筑
航空航天
转基因
我要订阅楼主
笨笨姐
的主题更新
5
1/1
返回列表
如果回帖内容含有宣传信息,请如实选中。否则帐号将被全论坛禁言
普通表情
龙
兔
虎
猫
百度网盘
|
360云盘
|
千易网盘
|
华为网盘
在新窗口页面中打开自己喜欢的网盘网站,将文件上传后,然后将下载链接复制到帖子内容中就可以了。
信息提示
关闭
请填处理意见
关闭
确定