±±¾©Ê¯ÓÍ»¯¹¤Ñ§Ôº2026ÄêÑо¿ÉúÕÐÉú½ÓÊÕµ÷¼Á¹«¸æ
²é¿´: 1867  |  »Ø¸´: 7

gaoye0925

ľ³æ (ÖøÃûдÊÖ)


[½»Á÷] ¹ØÓÚÏËάÔöÇ¿Ê÷Ö¬ÀíÂÛÇ¿¶È¼ÆËã

×öµÄÁ¬ÐøÏËάÔöÇ¿ÈÈËÜÐÔÊ÷Ö¬£¬ÆäÀíÂÛÀ­ÉìÇ¿¶ÈÊÇ·ñ¿ÉÒÔÓÃÏËάÀ­ÉìÇ¿¶ÈºÍÊ÷Ö¬À­ÉìÇ¿¶È¼òµ¥¼ÓºÍ£¿
»Ø¸´´ËÂ¥

» ÊÕ¼±¾ÌûµÄÌÔÌûר¼­ÍƼö

ÏËάÔöÇ¿²ÄÁÏ

» ²ÂÄãϲ»¶

» ±¾Ö÷ÌâÏà¹Ø¼ÛÖµÌùÍÆ¼ö£¬¶ÔÄúͬÑùÓаïÖú:

» ÇÀ½ð±ÒÀ²£¡»ØÌû¾Í¿ÉÒԵõ½:

²é¿´È«²¿É¢½ðÌù

ÒÑÔÄ   »Ø¸´´ËÂ¥   ¹Ø×¢TA ¸øTA·¢ÏûÏ¢ ËÍTAºì»¨ TAµÄ»ØÌû

ÑÇØ¯

½ð³æ (СÓÐÃûÆø)


gaoye0925(½ð±Ò+1): Êǰ¡£¬ÄÇÓÐûÓÐʲô»ù´¡ÀíÂÛ£¬Äܸù¾ÝÏËάº¬Á¿£¬Ç¿¶È£¬Ëã³öÀíÂÛÇ¿¶ÈµÄ£¬Ð»Ð»ÁË£¬ 2011-03-28 19:01:34
µ±È»²»¿ÉÒÔÀ²£¡ ÈôÆä»úÀíÊÇ1+1=2  µÄ»°£¬ÄǾÍʧȥÁ˲ÄÁϸ´ºÏµÄÒâÒåÁË£¡
2Â¥2011-03-28 12:50:26
ÒÑÔÄ   »Ø¸´´ËÂ¥   ¹Ø×¢TA ¸øTA·¢ÏûÏ¢ ËÍTAºì»¨ TAµÄ»ØÌû

ÑÇØ¯

½ð³æ (СÓÐÃûÆø)


¡ï
gaoye0925(½ð±Ò+1): Òª¼ÆËãÀ­ÉìÇ¿¶È£¬Ò²Éè¼Æµ½²ã¼ä½áºÏÎÊÌâÂ𣬲»ºÃÒâ˼ 2011-03-29 08:53:13
zhaozhilei(½ð±Ò+1): лл½»Á÷ 2011-03-29 22:07:37
ÓÉÓÚ¸´ºÏ²ÄÁϲãºÏ°åÇ¿¶ÈÎÊÌâÀíÂÛÑо¿µÄ¸´Ôӳ̶ȡ¢²ãºÏ°åÆÆ»µÒòËØµÄ²¿È·¶¨ÐÔÒÔ¼°¹¤³Ìʵ¼ÊÓ¦ÓÃÐèÇóµÄÆÈÇÐÐÔ ¸´ºÏ²ÄÁÏÇ¿¶È¼ÆËãÄ£ÐͶࠠµÈ µÈ·½ÃæµÄÒòËØ£¬¸´ºÏ²ÄÁϸ÷ÖÖÁ¦Ñ§ÐÔÄܲÎÊýµÄÀíÂÛÊýÖµ¼ÆË㠠Ŀǰ»¹Ã»ÓÐ ½ÏÒ»ÖÂµÄ Í³Ò»°ì·¨¡£¡£¡£
3Â¥2011-03-29 08:39:29
ÒÑÔÄ   »Ø¸´´ËÂ¥   ¹Ø×¢TA ¸øTA·¢ÏûÏ¢ ËÍTAºì»¨ TAµÄ»ØÌû

jhh3602

½ð³æ (ÖøÃûдÊÖ)


²»¿ÉÒÔµÄ

¡ï
yanjunqing(½ð±Ò+1): лл½»Á÷ 2011-04-02 15:29:41
gaoye0925(½ð±Ò+1): 2011-04-02 18:56:25
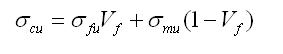
ÏËάÔöÇ¿¸´ºÏ²ÄÁϵÄÀ­ÉìÇ¿¶È¿É±íʾΪ£º

ʽÖУºscu´ú±í¸´ºÏ²ÄÁϵÄÀ­ÉìÇ¿¶È£¬sfu´ú±íÏËάµÄ³õʼǿ¶È£¬smu´ú±í»ùÌå²ÄÁÏÀ­ÉìÇ¿¶È£¬Vf´ú±íÏËάµÄÌå»ý·ÖÊý¡£

²»¹ýʵ¼ÊµÄÓ¦ÓÃÖл¹ÓкܶàÄ£ÐÍ£¬ÒýÈëÆäËûÒò×Ó

4Â¥2011-04-02 14:39:28
ÒÑÔÄ   »Ø¸´´ËÂ¥   ¹Ø×¢TA ¸øTA·¢ÏûÏ¢ ËÍTAºì»¨ TAµÄ»ØÌû

yuanhaojie

ľ³æ (ÖøÃûдÊÖ)


gaoye0925(½ð±Ò+1): 2011-04-02 18:58:56
¼òµ¥ÇóºÍÊǾø¶Ô²»Ðеģ¬ÔöÇ¿ÏËάºÍ»ùÌåÊ÷Ö¬Ö®¼ä´æÔÚÆ¥ÅäÎÊÌ⣬ËÄÂ¥µÄ¹«Ê½ÊÇÓÐÒæµÄ£¬¿ÉÒÔÓÃ×÷¹ÀËãʹÓá£
      µ«ÊÇÔÚÒªÇóÑϽ÷µÄÇé¿öÏÂÊDz»ÄÜʹÓõģ¬ÈôÊÇÄÜŪµ½Êµ¼Ê²ÄÁÏ£¬×îºÃÓÃÍòÄܲÄÁÏÊÔÑé»ú²âÊÔһϡ£
5Â¥2011-04-02 16:03:02
ÒÑÔÄ   »Ø¸´´ËÂ¥   ¹Ø×¢TA ¸øTA·¢ÏûÏ¢ ËÍTAºì»¨ TAµÄ»ØÌû

leejunney

ľ³æ (ÕýʽдÊÖ)


gaoye0925(½ð±Ò+1): 2011-04-02 18:59:36
ÏËάÔöÇ¿¸´ºÏ²ÄÁÏÇ¿¶È£¬³ýÈ¥ÏËά±¾ÉíºÍ»ùÌåÇ¿¶ÈÍ⣬»¹ÓÐÏËά/»ùÌå½çÃæ½áºÏÇ¿¶È¡¢Î¢ÁÑÎÆÀ©Õ¹·½Ê½µÈ¶Ô²ÄÁÏÕûÌåÇ¿¶ÈµÄ¹±Ï×£¬½¨Òé²Î¿¼ÏÂÏËάÔöÇ¿¸´ºÏ²ÄÁϵÄÇ¿¶ÈÀíÂÛ¼ÆËã¡£
6Â¥2011-04-02 16:11:05
ÒÑÔÄ   »Ø¸´´ËÂ¥   ¹Ø×¢TA ¸øTA·¢ÏûÏ¢ ËÍTAºì»¨ TAµÄ»ØÌû

gaoye0925

ľ³æ (ÖøÃûдÊÖ)


ÒýÓûØÌû:
Originally posted by jhh3602 at 2011-04-02 14:39:28:
ÏËάÔöÇ¿¸´ºÏ²ÄÁϵÄÀ­ÉìÇ¿¶È¿É±íʾΪ£º

ʽÖУºscu´ú±í¸´ºÏ²ÄÁϵÄÀ­ÉìÇ¿¶È£¬sfu´ú±íÏËάµÄ³õʼǿ¶È£¬smu´ú±í»ùÌå²ÄÁÏÀ­ÉìÇ¿¶È£¬Vf´ú±íÏËάµÄÌå»ý·ÖÊý¡£

²»¹ýʵ¼ÊµÄÓ¦ÓÃÖл¹ÓкܶàÄ£ÐÍ£¬ÒýÈëÆäËûÒò×Ó
[eimg]a ...

Õâ¸ö²»¾ÍÊÇÎÒ˵µÄÏËάǿ¶ÈºÍ»ùÌåÇ¿¶ÈÖ®ºÍÂð
7Â¥2011-04-02 18:58:14
ÒÑÔÄ   »Ø¸´´ËÂ¥   ¹Ø×¢TA ¸øTA·¢ÏûÏ¢ ËÍTAºì»¨ TAµÄ»ØÌû

jhh3602

½ð³æ (ÖøÃûдÊÖ)


¡ï
Сľ³æ(½ð±Ò+0.5):¸ø¸öºì°ü£¬Ð»Ð»»ØÌû½»Á÷
ÒýÓûØÌû:
Originally posted by gaoye0925 at 2011-04-02 18:58:14:
Õâ¸ö²»¾ÍÊÇÎÒ˵µÄÏËάǿ¶ÈºÍ»ùÌåÇ¿¶ÈÖ®ºÍÂð

²»ÊǼòµ¥¼ÓºÍ£¬Õâ¸ö¹«Ê½Ö»ÊÇ»ù±¾ÀíÂÛ£¬ÉÏÃæ²»ÊÇ˵ÁËÂð£¬ÓкܶàÄ£ÐÍ£¬¶¼ÒªÒýÈëÆäËûÒò×ÓµÄ
8Â¥2011-04-02 19:02:03
ÒÑÔÄ   »Ø¸´´ËÂ¥   ¹Ø×¢TA ¸øTA·¢ÏûÏ¢ ËÍTAºì»¨ TAµÄ»ØÌû
Ïà¹Ø°æ¿éÌø×ª ÎÒÒª¶©ÔÄÂ¥Ö÷ gaoye0925 µÄÖ÷Ìâ¸üÐÂ
×î¾ßÈËÆøÈÈÌûÍÆ¼ö [²é¿´È«²¿] ×÷Õß »Ø/¿´ ×îºó·¢±í
[¿¼ÑÐ] ²ÄÁÏר˶322 +7 ¹þ¹þ¹þºðºðºð¹þ 2026-04-05 7/350 2026-04-06 00:50 by fmesaito
[¿¼ÑÐ] ÕÒµ÷¼Á +10 ³þÇÇÇÇ 2026-04-01 10/500 2026-04-05 22:19 by syh9288
[¿¼ÑÐ] Ò»Ö¾Ô¸Çà¿Æ085500£¬³õÊÔ295·Ö£¬¹«¹²¿Î213·Ö +3 Óöµ½µÄÈËÔ¸Íû¶¼Ä 2026-04-05 3/150 2026-04-05 18:45 by À¶ÔÆË¼Óê
[¿¼ÑÐ] 323·Ö£¨¼ÆËã»úÊÓ¾õºÍ´óÄ£ÐÍÏîÄ¿£©ÄÜÖ±½ÓÉÏÊÖ +3 chaoxiicy 2026-04-01 3/150 2026-04-05 00:50 by chongya
[¿¼ÑÐ] Äܶ¯µ÷¼Á326ר˶ +4 wan112233 2026-04-04 4/200 2026-04-04 22:47 by yu221
[¿¼ÑÐ] 286Çóµ÷¼Á +3 ²Ýľ²»ÑÔ 2026-04-04 3/150 2026-04-04 22:40 by lbsjt
[¿¼ÑÐ] ²ÄÁϵ÷¼Á +15 Ò»ÑùYWY 2026-04-01 15/750 2026-04-04 22:23 by hemengdong
[¿¼ÑÐ] »·¾³285·Ö£¬¹ýÁù¼¶£¬Çóµ÷¼Á +10 xhr12 2026-04-02 10/500 2026-04-04 21:53 by bn53987
[¿¼ÑÐ] 296²ÄÁÏר˶Çóµ÷¼Á +21 202451007219 2026-04-02 22/1100 2026-04-04 21:48 by hemengdong
[¿¼ÑÐ] 081200-11408-276ѧ˶Çóµ÷¼Á +5 ´Þwj 2026-03-31 5/250 2026-04-04 19:45 by 1753564080
[¿¼ÑÐ] Çóµ÷¼Á +6 Ë·Ë·»° 2026-04-02 7/350 2026-04-04 19:16 by À¶ÔÆË¼Óê
[¿¼ÑÐ] 309·Ö085801Çóµ÷¼Á +11 MY_angel 2026-03-31 11/550 2026-04-04 19:11 by À¶ÔÆË¼Óê
[¿¼ÑÐ] ²ÄÁÏ¿ÆÑ§Ó빤³Ì¿¼ÑÐ +10 Õü¾ÈÆ¤ÌØÍÐÏÈÉú 2026-04-02 10/500 2026-04-03 23:57 by userper
[¿¼ÑÐ] ²ÄÁÏÓ뻯¹¤µ÷¼ÁÒ»Ö¾Ô¸´óÁ¬º£ÊÂ085600£¬349 +11 ³ÔµÄ²»ÉÙ 2026-03-30 11/550 2026-04-03 18:05 by Jimmyandyou
[¿¼ÑÐ] 0856£¬269·ÖÇóµ÷¼Á +15 ÓÐѧÉϾÍÐÐÇóÇóÁ 2026-03-30 18/900 2026-04-03 16:50 by melodiousnow
[¿¼ÑÐ] Çóµ÷¼Á²»Ìôרҵ +3 xrh030412 2026-04-01 3/150 2026-04-03 14:40 by µªÆøÆøÆø
[¿¼ÑÐ] 325·Ö»¯Ñ§µ÷¼Á +5 15771691647 2026-04-02 5/250 2026-04-03 09:58 by ChemPharm
[¿¼ÑÐ] 262Çóµ÷¼Á +6 ÀøÖ¾Ò»¶¨·¢ÎÄÕ 2026-04-02 7/350 2026-04-03 09:54 by linyelide
[¿¼ÑÐ] 324Çóµ÷¼Á +5 ÏëÉÏѧÇóµ÷ 2026-04-01 6/300 2026-04-02 10:16 by sanrepian
[¿¼ÑÐ] Ò»Ö¾Ô¸9³õÊÔ366 ±¾Ë«·ÇÇóµ÷¼Á +4 ÔËÆøÀ´µÃÈôÓÐËÆÎ 2026-04-02 4/200 2026-04-02 09:56 by guanxin1001
ÐÅÏ¢Ìáʾ
ÇëÌî´¦ÀíÒâ¼û