| 查看: 870 | 回复: 3 | |
[求助]
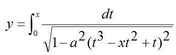
求定积分,含参数的
|
|
|
|
|
|
2楼2012-06-16 21:13:31
|
|
|
3楼2012-06-16 23:21:15
|
|
|
4楼2012-06-17 09:43:59
|
|















回复此楼
6