| 查看: 3759 | 回复: 2 | ||
zhaoyf04至尊木虫 (知名作家)
|
[求助]
请给一个matlab程序:关于热传导方程的数值求解
|
|
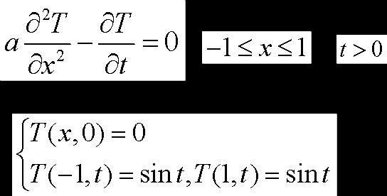
1. 一维线性热传导方程; 2. 用隐式差分格式离散得到系数矩阵是三对角矩阵的线性方程组; 3. 利用追赶法编制matlab程序过程中遇到问题,利用现有的matlab追赶法代码无法求解,希望有人帮忙!如果能够建立良好的互助关系则更好! 4. 方程和初始、边界条件如图所示 |
» 猜你喜欢
哈尔滨理工大学物理系招收物理学考研调剂
已经有6人回复
0702一志愿吉大B区求调剂
已经有5人回复
物理学I论文润色/翻译怎么收费?
已经有175人回复
求调剂
已经有0人回复
0702一志愿吉大B区求调剂有论文
已经有0人回复
请问还有没有用Latex写文章的小伙伴们?
已经有0人回复
光学工程学硕调剂信息
已经有31人回复
欢迎加入课题组
已经有0人回复
散金币,求好运,祝面上顺利!
已经有68人回复
华东师范大学芯片设计徐珑真实水平咋样
已经有1人回复
调剂
已经有0人回复
» 本主题相关价值贴推荐,对您同样有帮助:
matlab可以求解差分方程系统的解吗?
已经有6人回复
偏微分方程Matlab求解
已经有7人回复
跟大家请教一个一维热传导方程建立的问题(高分求助)
已经有3人回复
matlab 求解三元方程组
已经有9人回复
用matlab 求解参数方程组
已经有8人回复
中心差分求解二维热传导的matlab程序
已经有12人回复
erfc的求解问题。谢谢。
已经有5人回复
求助这个热传导方程怎么解啊
已经有6人回复
热传导方程中各个变量对结果的影响哪个更大?
已经有4人回复
求解这类方程 用什么软件编程较好····
已经有8人回复
数值求解N-S方程一般用什么编程啊???
已经有9人回复
请教一个传质偏微分方程的解
已经有3人回复
求解,热传递方程
已经有6人回复
哪位高手能用matlab编程求解一维瞬态热传导方程,先谢谢啦
已经有7人回复
多变量齐次方程解
已经有4人回复
求助:如何用MATLAB的偏微分方程工具箱画出不同区域内的温度分布图?
已经有5人回复
matlab数值求解边界条件微分方程组
已经有7人回复
求matlab求解一个方程组的问题
已经有6人回复
【求助】VS2005数值计算程序调试【急求!!!!加金币】
已经有9人回复
【求助】用MATLAB求解偏微分方程的数值解 悬赏20
已经有8人回复
【求助】偏微分方程的基本解
已经有5人回复

joy4210
金虫 (小有名气)
- 应助: 9 (幼儿园)
- 金币: 3095.3
- 散金: 2
- 帖子: 219
- 在线: 114.7小时
- 虫号: 1096044
- 注册: 2010-09-11
- 专业: 原子和分子物理
2楼2012-06-24 22:28:06
joy4210
金虫 (小有名气)
- 应助: 9 (幼儿园)
- 金币: 3095.3
- 散金: 2
- 帖子: 219
- 在线: 114.7小时
- 虫号: 1096044
- 注册: 2010-09-11
- 专业: 原子和分子物理
3楼2012-06-24 22:32:41













回复此楼