| ²é¿´: 2749 | »Ø¸´: 12 | ||
wangbin2010½ð³æ (СÓÐÃûÆø)
|
[ÇóÖú]
һͰˮ£¬µ×²¿¿ª¿××ÔÓÉÁ÷³öËùÐèʱ¼ä
|
|
һͰˮ£¬Ë®µÄÃܶȦѣ¬Ë®ÔÚͰÖеĸ߶ÈH£¬Í°µÄ°ë¾¶R1£¬µ×²¿ÖÐÐÄ¿ªÒ»Ð¡¿×£¬°ë¾¶ÎªR2¡£´ò¿ªµ×²¿Ð¡¿×£¬ÈÃË®×ÔÓÉÁ÷³ö£¬È«²¿Á÷ÍêËùÐèʱ¼ät¡£ÇëÎÊһϣ¬Ê±¼ätÓë¦Ñ¡¢H¡¢R1¡¢R2µÄ¹ØÏµ¡£ [ Last edited by »ªÀöµÄÆ®¹ý on 2012-9-22 at 21:59 ] |
» ²ÂÄãϲ»¶
295Çóµ÷¼Á
ÒѾÓÐ15È˻ظ´
Ò»Ö¾Ô¸ºÓ±±¹¤Òµ´óѧ²ÄÁϹ¤³Ì£¬³õÊÔ344Çóר˶µ÷¼Á
ÒѾÓÐ6È˻ظ´
362Çóµ÷¼ÁÒ»Ö¾Ô¸ÖйúʯÓÍ´óѧ
ÒѾÓÐ5È˻ظ´
0703µ÷¼Á£¬Ò»Ö¾Ô¸Ìì½ò´óѧ319·Ö
ÒѾÓÐ13È˻ظ´
085600²ÄÁÏÓ뻯¹¤×¨Ë¶329 Çóµ÷¼Á
ÒѾÓÐ4È˻ظ´
»¯¹¤Çóµ÷¼Á£¡
ÒѾÓÐ4È˻ظ´
²ÄÁϵ÷¼Á
ÒѾÓÐ5È˻ظ´
Çóµ÷¼Á Ò»Ö¾Ô¸Î÷ÄϽ»Í¨´óѧ085701»·¾³¹¤³Ì 282·Ö
ÒѾÓÐ8È˻ظ´
265Çóµ÷¼Á
ÒѾÓÐ3È˻ظ´
302·ÖÇóµ÷¼Á Ò»Ö¾Ô¸°²»Õ´óѧ085601
ÒѾÓÐ9È˻ظ´
» ±¾Ö÷ÌâÏà¹Ø¼ÛÖµÌùÍÆ¼ö£¬¶ÔÄúͬÑùÓаïÖú:
¹ý´ó¿×Ê÷Ö¬Öùʱ£¬ÊÔ¼Á¹ý¶ÉµÄÎÊÌ⣿
ÒѾÓÐ9È˻ظ´
¹ØÓÚÒÔ·ÓÈ©Ê÷֬Ϊ̿ԴºÏ³É½é¿×Ì¿µÄÎÊÌâ
ÒѾÓÐ22È˻ظ´
ÍÁÈÀ¿×϶´óСºÍ×é³ÉµÄ²â¶¨£¿
ÒѾÓÐ7È˻ظ´
¶à¿×²ÄÁϵĿ׾¶·Ö²¼¼ÆËãÎÊÌâ
ÒѾÓÐ10È˻ظ´
¡¾ÇóÖú¡¿´ò¿×Ê÷Ö¬ÉÏÑùŨ¶È
ÒѾÓÐ3È˻ظ´
¡¾ÌÖÂÛ¡¿»îÐÔÑõ»¯ÂÁµÄ¿×¾¶ºÍ¸ºÔØ
ÒѾÓÐ28È˻ظ´
¡¾ÇóÖú¡¿¡¶Ð½ṹ¸ßÐÔÄܶà¿×´ß»¯²ÄÁÏ¡·
ÒѾÓÐ14È˻ظ´
¡¾×ªÌû¡¿´ó¿×Ê÷֬ʵÑé¾Ñé
ÒѾÓÐ36È˻ظ´
bill_shark
Òø³æ (СÓÐÃûÆø)
- Ó¦Öú: 10 (Ó×¶ùÔ°)
- ½ð±Ò: 1194.7
- ºì»¨: 4
- Ìû×Ó: 100
- ÔÚÏß: 63.3Сʱ
- ³æºÅ: 1437428
- ×¢²á: 2011-10-11
- רҵ: ¹âѧ
¡¾´ð°¸¡¿Ó¦Öú»ØÌû
wangbin2010(½ð±Ò+3): ллÄ㡣С¿×£¬ÎÒÏëÒ²Ó¦¸ÃÊÇÕâÑù¡£µ±¿×µÄ°ë¾¶ºÍͰÏ൱ʱ£¬¸ÃÔõÑùÄØ£¿ 2011-11-30 16:45:33
2Â¥2011-11-28 14:08:55
ybhan
½ð³æ (ÕýʽдÊÖ)
- Ó¦Öú: 12 (СѧÉú)
- ½ð±Ò: 1429.5
- É¢½ð: 49
- ºì»¨: 1
- Ìû×Ó: 598
- ÔÚÏß: 111.9Сʱ
- ³æºÅ: 447427
- ×¢²á: 2007-11-01
- ÐÔ±ð: GG
- רҵ: Äý¾Û̬ÎïÐÔ II £ºµç×ӽṹ
3Â¥2011-11-29 11:03:29
bill_shark
Òø³æ (СÓÐÃûÆø)
- Ó¦Öú: 10 (Ó×¶ùÔ°)
- ½ð±Ò: 1194.7
- ºì»¨: 4
- Ìû×Ó: 100
- ÔÚÏß: 63.3Сʱ
- ³æºÅ: 1437428
- ×¢²á: 2011-10-11
- רҵ: ¹âѧ
¡¾´ð°¸¡¿Ó¦Öú»ØÌû
wangbin2010(½ð±Ò+1): лл 2011-11-30 16:46:28
|
²»Í¬µÄÒºÌåÖ®¼äÓÐÏà¶ÔÔ˶¯²Å»á³öÏÖÕ³ÖÍÏÖÏó°É£¿¶ÔÓÚͰµ×¿ª¿×µÄÇé¿ö£¬Òª¿¼ÂÇÕ³Ö͵ÄÇé¿ö£¬Ò²¾ÍÊÇ˵Ҫ¿¼ÂdzöË®¿Ú¶ÔË®µÄÕ³ÖÍ£¿ Õ³ÖÍÁ¦F=¦ÇAdv/dz£¬¦ÇΪճÖÍϵÊý£¬Ë®ÔÚ20¡æÎª0.01£¬AΪ½Ó´¥Ãæ»ý£¬Í°¿ª¿×´¦½Ó´¥Ãæ»ý2¦ÐR*d£¬Í°ºñ¶ÈdÈ¡1cm£¨ÒѾºÜºñÁ˰ɣ©£¬¿×°ë¾¶RÈ¡1cm£¬AΪ0.000628m^2£¬Èô¿×°ë¾¶µ½1m£¬AÒ²¾Í0.0628m^2¡£dv/dzΪÁ÷ËÙÌݶȣ¬¾ÍËãÈ¡100m/sµÄËÙ¶È£¬Ëã³öÀ´µÄÕ³ÖÍÁ¦Ò²ÊǺÜСµÄ¡£ |
4Â¥2011-11-29 12:05:04
ybhan
½ð³æ (ÕýʽдÊÖ)
- Ó¦Öú: 12 (СѧÉú)
- ½ð±Ò: 1429.5
- É¢½ð: 49
- ºì»¨: 1
- Ìû×Ó: 598
- ÔÚÏß: 111.9Сʱ
- ³æºÅ: 447427
- ×¢²á: 2007-11-01
- ÐÔ±ð: GG
- רҵ: Äý¾Û̬ÎïÐÔ II £ºµç×ӽṹ
5Â¥2011-11-29 13:09:34
Ëï?ª730
ÖÁ×ðľ³æ (ÖªÃû×÷¼Ò)
- ÎïÀíEPI: 7
- Ó¦Öú: 537 (²©Ê¿)
- ¹ó±ö: 0.961
- ½ð±Ò: 22979.7
- É¢½ð: 6464
- ºì»¨: 177
- ɳ·¢: 16
- Ìû×Ó: 8217
- ÔÚÏß: 2899.2Сʱ
- ³æºÅ: 490447
- ×¢²á: 2008-01-03
¡¾´ð°¸¡¿Ó¦Öú»ØÌû
ϦÑôÎ÷ÏÂ: ÖØÁ¦ÊÆÄÜ=mgh=pvh,ËùÒÔʽ×ÓÖÐ×ó±ßÓëÓұߵÚһʽÉÙÁËÌå»ýV¡£ 2011-11-30 12:13:04
|
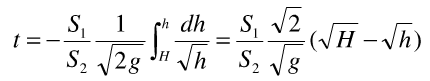
¿ÉÓÃÆÕͨÎïÀí½â ÄÜÁ¿Êغã ÖØÁ¦ÊÆÄÜ=¶¯ÄÜ+¿Ë·þÕ³ÖÍ×èÁ¦ÉúÈÈ 1/2*¦Ñg ¦¤h v^2 = ¦Ñg ¦¤h * h + ¦ÇS1/¦Ñ*¦¤h v=¸ùºÅ(2gh ¡ª ¦ÇS1/¦Ñ) ¦¤t=¦¤h / v dt=dh / v t=S1/S2 * ¸ùºÅ(2gH ¡ª ¦ÇS1/¦Ñ) |

6Â¥2011-11-29 15:20:42
Ëï?ª730
ÖÁ×ðľ³æ (ÖªÃû×÷¼Ò)
- ÎïÀíEPI: 7
- Ó¦Öú: 537 (²©Ê¿)
- ¹ó±ö: 0.961
- ½ð±Ò: 22979.7
- É¢½ð: 6464
- ºì»¨: 177
- ɳ·¢: 16
- Ìû×Ó: 8217
- ÔÚÏß: 2899.2Сʱ
- ³æºÅ: 490447
- ×¢²á: 2008-01-03

7Â¥2011-11-29 15:24:20
ybhan
½ð³æ (ÕýʽдÊÖ)
- Ó¦Öú: 12 (СѧÉú)
- ½ð±Ò: 1429.5
- É¢½ð: 49
- ºì»¨: 1
- Ìû×Ó: 598
- ÔÚÏß: 111.9Сʱ
- ³æºÅ: 447427
- ×¢²á: 2007-11-01
- ÐÔ±ð: GG
- רҵ: Äý¾Û̬ÎïÐÔ II £ºµç×ӽṹ
8Â¥2011-11-29 19:23:39
Ëï?ª730
ÖÁ×ðľ³æ (ÖªÃû×÷¼Ò)
- ÎïÀíEPI: 7
- Ó¦Öú: 537 (²©Ê¿)
- ¹ó±ö: 0.961
- ½ð±Ò: 22979.7
- É¢½ð: 6464
- ºì»¨: 177
- ɳ·¢: 16
- Ìû×Ó: 8217
- ÔÚÏß: 2899.2Сʱ
- ³æºÅ: 490447
- ×¢²á: 2008-01-03

9Â¥2011-11-29 22:44:49
Ëï?ª730
ÖÁ×ðľ³æ (ÖªÃû×÷¼Ò)
- ÎïÀíEPI: 7
- Ó¦Öú: 537 (²©Ê¿)
- ¹ó±ö: 0.961
- ½ð±Ò: 22979.7
- É¢½ð: 6464
- ºì»¨: 177
- ɳ·¢: 16
- Ìû×Ó: 8217
- ÔÚÏß: 2899.2Сʱ
- ³æºÅ: 490447
- ×¢²á: 2008-01-03
¡¾´ð°¸¡¿Ó¦Öú»ØÌû
wangbin2010(½ð±Ò+1): ллÄ㣬×îºóµÄ»ý·Ö¿´²»³öÀ´°¡¡£ÓÐÒ»µãʱ¼ä¸úÖØÁ¦¼ÓËÙ¶ÈÓ¦¸Ã¸ú³É·´±È£¬¼´¼ÓËÙÔ½´ó£¬Ê±¼äÔ½¶Ì¡£ 2011-11-30 16:50:36
|
[quote]Originally posted by ??????? at 2011-11-30 12:13:04: ?????????????? http://muchong.com/bbs/viewthread.php?tid=3876704&pid=6&page=1#pid6 ???????: ????????=mgh=pvh,???????????????????????????V?? 2011-11-30 12:13:04 ????????????? ??? ??????? ????????=????+?????????????? ??g ??h ?? R ^2 * h = 1/2*??g ??h ?? R^2 *v^2 + ?? v (2?? r) * [??h*(R/r)^2] ??gr *v^2 + 4?? *v ?? 2??grh = o v={????[4??^2 + 2h(??gr)^2]??2??}/??gr ??t= (R/r)^2 * ??h / v dt= (R/r)^2 * dh / v t= (R/r)^2 * ????(H,0){={??gr*dh/{????[4??^2 + 2h(??gr)^2]??2??}} |

10Â¥2011-11-30 14:20:44














»Ø¸´´ËÂ¥