| 查看: 1054 | 回复: 3 | ||||
enola捐助贵宾 (正式写手)
|
[求助]
defect states 与电子密度
|
|
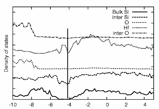
在很多文章中看到,计算得到的pdos中有defects state,然后作者能把这个defect state映射到电荷密度分布度(如图,图1是计算得到的pdos, 有一个defect state,图2中把对应这个defect state的电荷密度作出来)。不知道这个是怎么作的呢。我想一个是到空间(能量),可另外一个是是空间,不知道怎么对应啊,各位哦高手能分享下经验吗?谢谢。 图1 图2 |
» 收录本帖的淘帖专辑推荐
第一性原理 | VASP |
» 猜你喜欢
售SCI一区文章,我:8 O5 51O 54,科目齐全
已经有3人回复
售SCI一区文章,我:8 O5 51O 54,科目齐全
已经有3人回复
售SCI一区文章,我:8 O5 51O 54,科目齐全
已经有4人回复
售SCI一区文章,我:8 O5 51O 54,科目齐全
已经有3人回复
售SCI一区文章,我:8 O5 51O 54,科目齐全
已经有5人回复
售SCI一区文章,我:8 O5 51O 54,科目齐全
已经有5人回复
售SCI一区文章,我:8 O5 51O 54,科目齐全
已经有5人回复
售SCI一区文章,我:8 O5 51O 54,科目齐全
已经有6人回复
售SCI一区文章,我:8 O5 51O 54,科目齐全
已经有6人回复
售SCI一区文章,我:8 O5 51O 54,科目齐全
已经有6人回复
» 本主题相关价值贴推荐,对您同样有帮助:
通向凝聚态物理和量子化学的终极之路--密度矩阵重整化群,从矩阵乘积态到张量网态
已经有19人回复
电子密度和电子数的函数关系是怎样的,或者他们之间如何转换?
已经有3人回复
【求助完毕】硫酸根离子的结构优化,偶极修正及势能修正。
已经有20人回复
【求助】关于电子密度
已经有3人回复
【其他】征集第一性原理计算方面牛人的主页【活动结束】
已经有80人回复
【求助】VASP计算电子态密度
已经有34人回复
【求助】Dmol3计算outmol分析电子密度,谢谢!
已经有11人回复
【zhou2009个人文集】电子密度ρ和密度差Δρ
已经有38人回复
【求助】计算电子密度图【已解决】
已经有14人回复

goldenfisher
金虫 (著名写手)
- 1ST强帖: 3
- 应助: 55 (初中生)
- 贵宾: 0.153
- 金币: 5779.1
- 散金: 2908
- 红花: 21
- 帖子: 1552
- 在线: 351.5小时
- 虫号: 117764
- 注册: 2005-11-26
- 性别: GG
- 专业: 原子和分子物理
2楼2011-11-23 10:42:54
enola
捐助贵宾 (正式写手)
- 1ST强帖: 2
- 应助: 13 (小学生)
- 金币: 1485.9
- 散金: 1549
- 红花: 14
- 帖子: 847
- 在线: 102.5小时
- 虫号: 947564
- 注册: 2010-01-24
- 专业: 半导体光电子器件

3楼2011-11-23 10:56:19
goldenfisher
金虫 (著名写手)
- 1ST强帖: 3
- 应助: 55 (初中生)
- 贵宾: 0.153
- 金币: 5779.1
- 散金: 2908
- 红花: 21
- 帖子: 1552
- 在线: 351.5小时
- 虫号: 117764
- 注册: 2005-11-26
- 性别: GG
- 专业: 原子和分子物理
4楼2011-11-23 11:01:10













回复此楼
10