版块导航
正在加载中...
客户端APP下载
论文辅导
申博辅导
登录
注册
帖子
帖子
用户
本版
应《网络安全法》要求,自2017年10月1日起,未进行实名认证将不得使用互联网跟帖服务。为保障您的帐号能够正常使用,请尽快对帐号进行手机号验证,感谢您的理解与支持!
24小时热门版块排行榜
>
论坛更新日志
(689)
>
虫友互识
(116)
>
硕博家园
(33)
>
导师招生
(22)
>
论文投稿
(20)
>
基金申请
(19)
>
考博
(15)
>
教师之家
(11)
>
公派出国
(11)
>
博后之家
(8)
>
论文道贺祈福
(7)
>
找工作
(7)
>
考研
(4)
>
招聘信息布告栏
(2)
>
文献求助
(2)
>
休闲灌水
(2)
小木虫论坛-学术科研互动平台
»
计算模拟区
»
计算模拟
»
软件使用与操作
»
求教对流扩散方程的解法
1
1/1
返回列表
查看: 247 | 回复: 0
只看楼主
@他人
存档
新回复提醒
(忽略)
收藏
在APP中查看
carsal-008
金虫
(小有名气)
应助: 0
(幼儿园)
金币: 1287.6
散金: 200
红花: 1
帖子: 115
在线: 106.7小时
虫号: 614524
注册: 2008-09-28
性别: GG
专业: 概率论与随机分析
[
求助
]
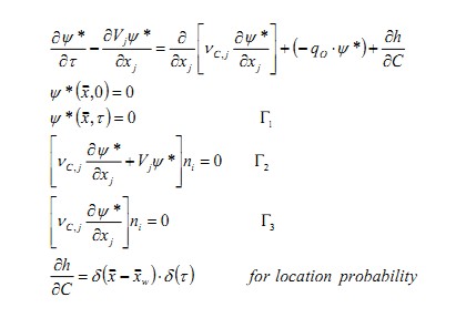
求教对流扩散方程的解法
各位前辈,请教一个问题,附图中的这种对流扩散方程怎么解?
是否可用fluent之类的cfd软件直接求解,若不能该怎样解决?
请有稍微详细的指教,多谢
方程形式
[
Last edited by carsal-008 on 2011-11-15 at 15:09
]
回复此楼
» 猜你喜欢
石墨烯转移--二氧化硅衬底石墨烯
已经有0人回复
笼目材料中量子自旋液体基态的证据
已经有0人回复
物理学I论文润色/翻译怎么收费?
已经有77人回复
数学教学论硕士可以读数学物理博士吗?
已经有0人回复
德国亥姆霍兹Hereon中心汉堡分部招镁合金腐蚀裂变SCC课题方向2026公派博士生
已经有4人回复
澳门大学 应用物理及材料工程研究院 潘晖教授课题组诚招博士后
已经有11人回复
求助NH4V4O10晶体的CIF文件
已经有0人回复
英国全奖博士招聘-深度学习与量子物理
已经有0人回复
间接带隙半导体有效质量求助
已经有1人回复
投稿chemical physical letters不送审?
已经有2人回复
南开大学物理学院张书辉副教授招收凝聚态物理理论方向博士生、硕士生
已经有4人回复
1楼
2011-11-15 14:53:40
已阅
回复此楼
关注TA
给TA发消息
送TA红花
TA的回帖
智能机器人
Robot
(super robot)
我们都爱小木虫
找到一些相关的精华帖子,希望有用哦~
怎么求解六次方程的解析解
已经有5人回复
Matlab数值求解二阶常微分方程
已经有9人回复
偏微分方程数值解法 李荣华
已经有70人回复
matlab方程求教
已经有4人回复
请教大家一个MATLAB的方程求解问题
已经有6人回复
多孔介质udf,uds编写问题
已经有33人回复
抛物型偏微分方程的数值解求解问题,谢谢!
已经有14人回复
对流扩散方程迭代求解发散
已经有11人回复
QUICK格式应该如何使用?
已经有8人回复
如何用matlab求解矩阵系数的二阶微分方程
已经有13人回复
对于uds的对流项设置问题~
已经有4人回复
fluent-udf自定义标量方程边界条件
已经有5人回复
matlab解方程解出z,z代表什么?一般怎么处理?
已经有6人回复
matlab有限差分法求解复杂的偏微分方程组
已经有19人回复
求解扩散方程问题
已经有9人回复
fluent单相流中的双流体模型
已经有13人回复
求助Matlab解方程问题
已经有6人回复
求教:动量传递
已经有7人回复
对流-扩散方程中加入导热方程的问题
已经有3人回复
【求助】对流传热系数与温度的计算公式
已经有16人回复
【求助】有关响应面方程的问题
已经有20人回复
点击这里搜索更多相关资源
科研从小木虫开始,人人为我,我为人人
相关版块跳转
第一性原理
量子化学
计算模拟
分子模拟
仿真模拟
程序语言
我要订阅楼主
carsal-008
的主题更新
1
1/1
返回列表
如果回帖内容含有宣传信息,请如实选中。否则帐号将被全论坛禁言
普通表情
龙
兔
虎
猫
百度网盘
|
360云盘
|
千易网盘
|
华为网盘
在新窗口页面中打开自己喜欢的网盘网站,将文件上传后,然后将下载链接复制到帖子内容中就可以了。
信息提示
关闭
请填处理意见
关闭
确定