| ²é¿´: 1206 | »Ø¸´: 7 | ||
óÝóÝÈÕÉÏÒø³æ (ÖøÃûдÊÖ)
|
[ÇóÖú]
ºÜ¼òµ¥µÄÊýѧ¼«ÏÞÌâ~
|
|
|
|
||
leimiao_hitľ³æÖ®Íõ (ÎÄѧ̩¶·)
СԪ
|
||
![]() |
||
|
2Â¥2011-11-05 22:46:03
|
|
|
pengyehuiľ³æ (ÕýʽдÊÖ)
|
¡¾´ð°¸¡¿Ó¦Öú»ØÌû
soliton923: лл²ÎÓëÌÖÂÛ~~ 2011-11-05 23:25:59
soliton923: лл²ÎÓëÌÖÂÛ~~ 2011-11-05 23:25:59
|
|
|
3Â¥2011-11-05 23:09:06
|
|
|
óÝóÝÈÕÉÏÒø³æ (ÖøÃûдÊÖ)
|
||
|
4Â¥2011-11-05 23:13:28
|
|
|
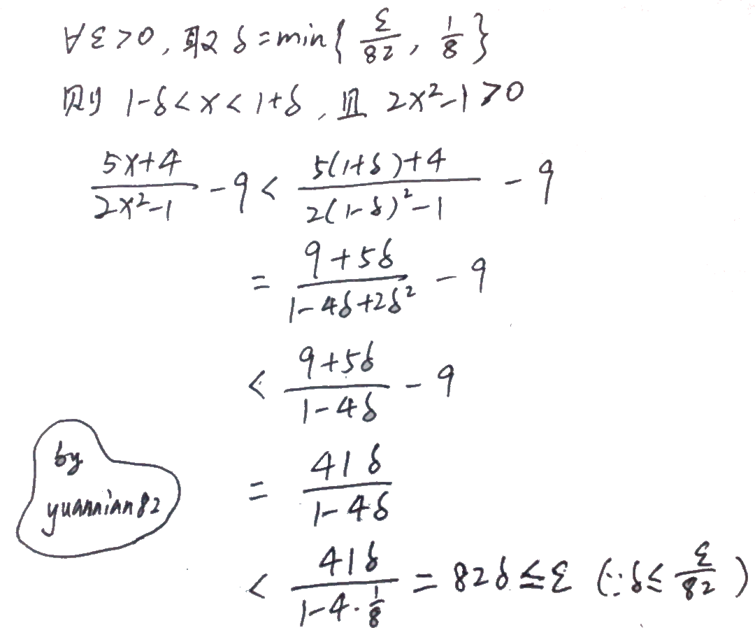
yuannian82½ð³æ (СÓÐÃûÆø)
|
||
|
5Â¥2011-11-06 00:15:32
|
|
|
óÝóÝÈÕÉÏÒø³æ (ÖøÃûдÊÖ)
|
||
|
6Â¥2011-11-06 11:36:48
|
|
|
xytcmathгæ (СÓÐÃûÆø)
|
||
|
7Â¥2011-11-17 18:22:34
|
|
|
zhangjob¾èÖú¹ó±ö (ÖøÃûдÊÖ)
|
||
![]() |
||
|
8Â¥2012-05-31 10:31:34
|
|













»Ø¸´´ËÂ¥


