±±¾©Ê¯ÓÍ»¯¹¤Ñ§Ôº2026ÄêÑо¿ÉúÕÐÉú½ÓÊÕµ÷¼Á¹«¸æ
²é¿´: 496  |  »Ø¸´: 0

s102991

½ð³æ (ÕýʽдÊÖ)

[ÇóÖú] ·ÇÏÔÐÔº¯ÊýÔ¼ÊøÌõ¼þÔ¼ÊøÏµĺ¯Êý×îСֵÎÊÌâ

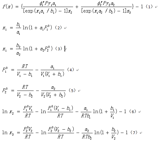
ÔÚ·½³Ì£¨1£©ÖÐX1£¬X2£¬X3ÊÇδ֪Êý£¬ÒªÇóf(x)µÄ×îСֵºÍ×îСֵϵÄX1£¬X2£¬X3£»
ÔÚ£¨2£©-£¨6£©ÖÐa1,b1,a2,b2,TÊÇÒÑÖªÁ¿£¬R³£Êý£¬
Õâ¸öÎÊÌâ¿ÉÒÔÓÃmatlabÓÅ»¯¹¤¾ßÏäÖеÄfminconº¯Êý½â¾öÂð£¿Èç¹û½«£¨2£©-£¨6£©¿´³ÉÔ¼ÊøÌõ¼þ£¬µ«ÊÇx1£¬x2£¬x3Ö®¼ä²»ÊÇÏÔÐÔº¯Êý¹ØÏµ£¬ÕâÖÖ·½·¨¿ÉÐÐÂð£¿Ô¼Êøº¯Êý¸ÃÔõôд£¿
Èç¹û²»ÐУ¬±ðµÄ½â¾ö·½·¨ÊÇÔõôÑùµÄÄØ£¿
»Ø¸´´ËÂ¥

» ²ÂÄãϲ»¶

ÒÑÔÄ   ¹Ø×¢TA ¸øTA·¢ÏûÏ¢ ËÍTAºì»¨ TAµÄ»ØÌû

ÖÇÄÜ»úÆ÷ÈË

Robot (super robot)

ÎÒÃǶ¼°®Ð¡Ä¾³æ

ÕÒµ½Ò»Ð©Ïà¹ØµÄ¾«»ªÌû×Ó£¬Ï£ÍûÓÐÓÃŶ~

¿ÆÑдÓСľ³æ¿ªÊ¼£¬ÈËÈËΪÎÒ£¬ÎÒΪÈËÈË
Ïà¹Ø°æ¿éÌø×ª ÎÒÒª¶©ÔÄÂ¥Ö÷ s102991 µÄÖ÷Ìâ¸üÐÂ
×î¾ßÈËÆøÈÈÌûÍÆ¼ö [²é¿´È«²¿] ×÷Õß »Ø/¿´ ×îºó·¢±í
[¿¼ÑÐ] 083000ѧ˶274Çóµ÷¼Á +8 LiÀîÓã 2026-03-26 8/400 2026-03-28 20:33 by ¼ÓÓÍÏòδÀ´°¡
[¿¼ÑÐ] 299Çóµ÷¼Á +7 àÅàÅàÅàÅ2 2026-03-27 7/350 2026-03-28 13:09 by ÌÆãå¶ù
[¿¼ÑÐ] 0703Ò»Ö¾Ô¸9£¬³õÊԳɼ¨£º338£¬ËÄÁù¼¶Òѹý£¬ÓпÆÑо­Àú£¬Çóµ÷¼Á£¡ +4 Zuhui0306 2026-03-25 4/200 2026-03-28 13:07 by ÌÆãå¶ù
[¿¼ÑÐ] ҩѧ105500Çóµ÷¼Á +3 Ssun¡£¡£ 2026-03-28 3/150 2026-03-28 11:24 by lxf170613
[¿¼ÑÐ] Ò»Ö¾Ô¸ÄϾ©º½¿Õº½Ìì´óѧ²ÄÁÏѧ˶Çóµ÷¼Á +3 @taotao 2026-03-28 3/150 2026-03-28 10:26 by JourneyLucky
[¿¼ÑÐ] °²»Õ´óѧר˶ÉúÎïÓëҽҩרҵ(086000)324·Ö£¬Ó¢ÓïÒѹýËÄÁù¼¶£¬Áù¼¶521£¬Çóµ÷¼Á +4 ÃÀζ¿ÉÀÖ¼¦³á 2026-03-26 4/200 2026-03-27 15:27 by ÐÇ¿ÕÐÇÔÂ
[¿¼ÑÐ] 298µ÷¼Á +3 jiyingjie123 2026-03-27 3/150 2026-03-27 11:57 by wxiongid
[¿¼ÑÐ] 303Çóµ÷¼Á +7 °²ÒäÁé 2026-03-22 8/400 2026-03-27 11:46 by sanrepian
[¿¼ÑÐ] ²ÄÁÏÇóµ÷¼Á +5 .m.. 2026-03-25 5/250 2026-03-27 11:08 by ²»³Ôô~µÄ؈
[¿¼ÑÐ] 292Çóµ÷¼Á +4 ÇóÇóÁËÊÕÏÂÎÒ°É£ 2026-03-26 4/200 2026-03-27 10:37 by zhshch
[¿¼ÑÐ] Ò»Ö¾Ô¸¹þ¹¤´ó£¬085400£¬320£¬Çóµ÷¼Á +4 gdlf9999 2026-03-24 4/200 2026-03-25 23:01 by boxking200
[¿¼ÑÐ] ÉúÎï¼¼ÊõÓ빤³Ì +3 1294608413 2026-03-25 4/200 2026-03-25 18:02 by 1294608413
[¿¼ÑÐ] ÍøÂç¿Õ¼ä°²È«0839Õе÷¼Á +4 w320357296 2026-03-25 6/300 2026-03-25 17:59 by 255671
[¿¼ÑÐ] ¸÷λÀÏʦÄúºÃ£º±¾È˳õÊÔ372·Ö +5 jjÓ¿77 2026-03-25 6/300 2026-03-25 14:15 by mapenggao
[¿¼ÑÐ] 285Çóµ÷¼Á +3 AZMK 2026-03-24 3/150 2026-03-25 12:23 by userper
[¿¼ÑÐ] Ò»Ö¾Ô¸¼ªÁÖ´óѧ²ÄÁÏÓ뻯¹¤303·ÖÇóµ÷¼Á +4 Ϊѧ666 2026-03-24 4/200 2026-03-25 11:27 by BruceLiu320
[¿¼ÑÐ] Ò»Ö¾Ô¸ÎäÀí085500»úеרҵ×Ü·Ö300Çóµ÷¼Á +3 an10101 2026-03-24 7/350 2026-03-25 00:00 by ɽ¹í0-
[¿¼ÑÐ] »¯¹¤×¨Ë¶Çóµ÷¼Á +3 questionÍì·ç 2026-03-24 3/150 2026-03-24 18:48 by jhhcooi
[¿¼ÑÐ] ²ÄÁÏר˶331Çóµ÷¼Á +4 Ïʵ±Å£ 2026-03-24 4/200 2026-03-24 15:58 by JourneyLucky
[¿¼ÑÐ] 070300£¬Ò»Ö¾Ô¸±±º½320Çóµ÷¼Á +3 Jerry0216 2026-03-22 5/250 2026-03-23 09:16 by ¡£¡£ÌÃÌÃ
ÐÅÏ¢Ìáʾ
ÇëÌî´¦ÀíÒâ¼û