| 查看: 944 | 回复: 3 | ||
s102991金虫 (正式写手)
|
[求助]
非显性函数关系约束条件下的函数最小值问题
|
|
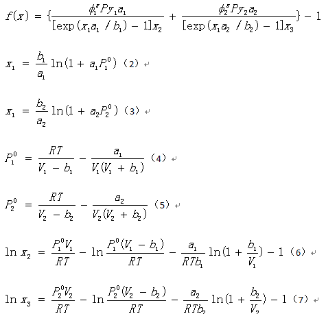
在方程(1)中X1,X2,X3是未知数,要求f(x)的最小值和最小值下的X1,X2,X3; 在(2)-(6)中a1,b1,a2,b2,T是已知量,R常数, 这个问题可以用matlab优化工具箱中的fmincon函数解决吗?如果将(2)-(6)看成约束条件,但是x1,x2,x3之间不是显性函数关系,这种方法可行吗?约束函数该怎么写? 如果不行,别的解决方法是怎么样的呢? |
» 猜你喜欢
327求调剂
已经有16人回复
085600材料与化工329分求调剂
已经有16人回复
考研调剂
已经有8人回复
279学硕食品专业求调剂院校
已经有23人回复
各位老师好,求调剂,本科211,一志愿天津大学生物与医药学硕,差两名录取。
已经有8人回复
288求调剂,一志愿华南理工大学071005
已经有21人回复
化学070300 求调剂
已经有19人回复
B区0809 ,数一英一,290 求调剂
已经有4人回复
290求调剂
已经有16人回复
274求调剂
已经有8人回复
» 本主题相关价值贴推荐,对您同样有帮助:
问个关于matlab里find函数的问题!
已经有4人回复
【分享】Excel 2003 函数应用大全—教你搞定函数问题【已搜索无重复】
已经有205人回复
关于LANL2DZ加极化函数的问题
已经有15人回复
【求助】请教:隐式目标函数和约束条件非线性规划问题
已经有5人回复
【求助】函数最小值问题?
已经有9人回复
【求助】请教ms5.0中功函数计算问题
已经有6人回复
【求助】功函数问题的咨询
已经有6人回复
【求助】LAMMPS中非周期性边界条件和Born-Mayer-Huggins势函数不会设置
已经有4人回复
请教关于origin中自定义函数非线性回归拟合问题!
已经有10人回复
pengyehui
木虫 (正式写手)
- 数学EPI: 3
- 应助: 15 (小学生)
- 贵宾: 0.03
- 金币: 4215.2
- 红花: 5
- 帖子: 510
- 在线: 190.6小时
- 虫号: 462928
- 注册: 2007-11-19
- 性别: GG
- 专业: 计算数学与科学工程计算
2楼2011-09-29 08:35:12
s102991
金虫 (正式写手)
- 应助: 13 (小学生)
- 金币: 1758.8
- 散金: 6
- 红花: 11
- 帖子: 536
- 在线: 149.3小时
- 虫号: 1154584
- 注册: 2010-11-24
- 性别: GG
- 专业: 无机材料化学
3楼2011-09-29 09:34:12
dingd
铁杆木虫 (职业作家)
- 应助: 1641 (讲师)
- 金币: 15037.3
- 散金: 101
- 红花: 234
- 帖子: 3410
- 在线: 1223.7小时
- 虫号: 291104
- 注册: 2006-10-28
4楼2011-09-29 12:00:23














回复此楼