| 查看: 249 | 回复: 1 | |
KZ1425木虫 (著名写手)
|
[求助]
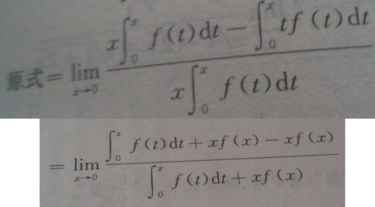
一道极限问题
|
|
|
|
|
2楼2011-09-08 08:47:51
|
|














回复此楼