| ²é¿´: 2828 | »Ø¸´: 5 | ||
monitor2885ÖÁ×ðľ³æ (Ö°Òµ×÷¼Ò)
¶Ó³¤
|
[ÇóÖú]
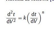
Êý¾ÝÈçºÎ¸ù¾Ý¶þ½×΢·Ö·½³Ì½øÐÐÄâºÏ
|
|
![]() |
||
|
|
||
ÐűËÄÏɽľ³æ (ÖøÃûдÊÖ)
|
||
|
2Â¥2011-07-21 14:24:39
|
|
|
change0618Ìú¸Ëľ³æ (ÖøÃûдÊÖ)
·½ÕÉ´óʦ
|
¡¾´ð°¸¡¿Ó¦Öú»ØÌû
¡ï
monitor2885(½ð±Ò+2): 2011-07-21 15:40:52 ³ôË®¹µ(½ð±Ò+1): ллӦÖú~~ 2011-07-22 15:12:30
|
|
|
3Â¥2011-07-21 14:52:54
|
|
|
monitor2885ÖÁ×ðľ³æ (Ö°Òµ×÷¼Ò)
¶Ó³¤
|
||
![]() |
||
|
4Â¥2011-07-21 15:40:30
|
|
|
340440776½ð³æ (ÕýʽдÊÖ)
|
¡ï
³ôË®¹µ(½ð±Ò+1): ллӦÖú~~ 2011-08-11 13:15:04
|
|
|
5Â¥2011-08-11 11:34:31
|
|
|
dingdÌú¸Ëľ³æ (Ö°Òµ×÷¼Ò)
|
¡ï
xiegangmai(½ð±Ò+1): лл²ÎÓ룡 2011-12-05 22:56:14
|
|
|
6Â¥2011-12-05 21:50:31
|
|














»Ø¸´´ËÂ¥