| ²é¿´: 873 | »Ø¸´: 6 | ||
hxj2001hyľ³æ (ÖªÃû×÷¼Ò)
|
[½»Á÷]
ÇóÖúº¯ÊýÇó¼«ÏÞ ÐüÉÍ5½ð±Ò ÒÑÓÐ5È˲ÎÓë
|
» ±¾Ö÷ÌâÏà¹Ø¼ÛÖµÌùÍÆ¼ö£¬¶ÔÄúͬÑùÓаïÖú:
Çë´ó¼ÒÌÖÂÛÒ»¸öº¯ÊýµÄ¼«ÏÞ Á¬Ðø ¼ä¶ÏÎÊÌâ
ÒѾÓÐ6È˻ظ´
µÚÒ»½²£ºº¯Êý£¬¼«ÏÞ£¬µ¼ÊýºÍÒ»ÖØ»ý·Ö1 - ³¬Ç¿×ܽᣨ¸ß·Öѧ³¤µÄ¾Ñ飩-³ÖÐø¸üÐÂÖÐ
ÒѾÓÐ41È˻ظ´
Õâ¸ö¶þÔªº¯ÊýµÄ¼«ÏÞÔõôÇó
ÒѾÓÐ4È˻ظ´
Ö¤Ã÷¶þÔªº¯ÊýµÄ¼«ÏÞ
ÒѾÓÐ11È˻ظ´
°ïæÇó¸öÏòÁ¿º¯ÊýµÄ¼«ÏÞ
ÒѾÓÐ3È˻ظ´
ÇóÖú¸ßÊÖ ½âÒ»¸ö»ý·Ö·½³Ì
ÒѾÓÐ8È˻ظ´
º¯ÊýÁм«ÏÞÎÊÌâ
ÒѾÓÐ9È˻ظ´
¹ØÓÚ¼òµ¥º¯Êý¼«ÏÞÖµÎÊÌâ
ÒѾÓÐ6È˻ظ´
µ¼º¯Êý¼«ÏÞÓëµ¼ÊýµÄ¹ØÏµ ÒÉÎÊ
ÒѾÓÐ12È˻ظ´
Ò»µÀÏß´úÌâÄ¿ÇóÖú£¨¼±£©
ÒѾÓÐ12È˻ظ´
¼«ÏÞµÈÓÚeµÄÄÇÒ»¸öº¯ÊýÊÇÒ»¸öÑϸñµ¥µ÷µÝÔöº¯ÊýÂð
ÒѾÓÐ3È˻ظ´
ѺÉÏÈ«²¿¼Òµ±£¬Çó¼«ÏÞ £¡
ÒѾÓÐ6È˻ظ´
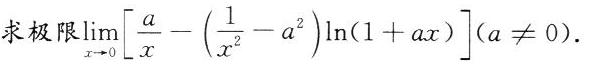
¡¾ÇóÖú¡¿ÐüÉÍ20½ð±Ò-Çë½Ì½«Õý·½ÐÎÑØ¶Ô½ÇÏß¾í³ÉÒ»¸öÇúÃæµÄº¯Êý¼°×÷ͼ
ÒѾÓÐ4È˻ظ´
xxppyy
ľ³æ (СÓÐÃûÆø)
- ÊýѧEPI: 1
- Ó¦Öú: 3 (Ó×¶ùÔ°)
- ½ð±Ò: 2855.4
- É¢½ð: 16
- ºì»¨: 4
- Ìû×Ó: 243
- ÔÚÏß: 348.3Сʱ
- ³æºÅ: 19703
- ×¢²á: 2003-07-17
¡ï ¡ï
Сľ³æ(½ð±Ò+0.5):¸ø¸öºì°ü£¬Ð»Ð»»ØÌû
soliton923(½ð±Ò+1): ллÌṩ˼· 2011-04-18 18:33:18
Сľ³æ(½ð±Ò+0.5):¸ø¸öºì°ü£¬Ð»Ð»»ØÌû
soliton923(½ð±Ò+1): ллÌṩ˼· 2011-04-18 18:33:18
2Â¥2011-04-18 00:57:43
Pchief
Ìú¸Ëľ³æ (ÕýʽдÊÖ)
- ÊýѧEPI: 26
- Ó¦Öú: 13 (СѧÉú)
- ¹ó±ö: 0.024
- ½ð±Ò: 10860.9
- ºì»¨: 36
- Ìû×Ó: 987
- ÔÚÏß: 1993.1Сʱ
- ³æºÅ: 52235
- ×¢²á: 2004-09-04
- רҵ: ·ºº¯·ÖÎö
¡ï
Сľ³æ(½ð±Ò+0.5):¸ø¸öºì°ü£¬Ð»Ð»»ØÌû
soliton923: ллר¼Ò¸øÓè³æ×ÓÃǵĽâ´ð 2011-04-18 18:32:42
Сľ³æ(½ð±Ò+0.5):¸ø¸öºì°ü£¬Ð»Ð»»ØÌû
soliton923: ллר¼Ò¸øÓè³æ×ÓÃǵĽâ´ð 2011-04-18 18:32:42
3Â¥2011-04-18 01:04:18
zjuzxr
½ð³æ (ÕýʽдÊÖ)
- Ó¦Öú: 7 (Ó×¶ùÔ°)
- ½ð±Ò: 238.4
- É¢½ð: 1997
- ºì»¨: 13
- Ìû×Ó: 901
- ÔÚÏß: 214.1Сʱ
- ³æºÅ: 1245139
- ×¢²á: 2011-03-25
- רҵ: ¼¸ºÎѧ
¡ï ¡ï
Сľ³æ(½ð±Ò+0.5):¸ø¸öºì°ü£¬Ð»Ð»»ØÌû
soliton923(½ð±Ò+1): лл²ÎÓë 2011-04-18 18:33:30
Сľ³æ(½ð±Ò+0.5):¸ø¸öºì°ü£¬Ð»Ð»»ØÌû
soliton923(½ð±Ò+1): лл²ÎÓë 2011-04-18 18:33:30
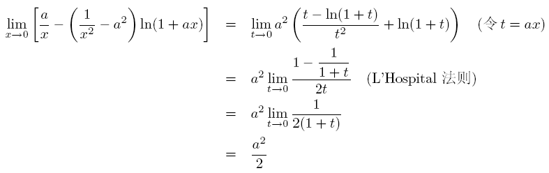
| ln(1+ax)ÓÃtaylor expasion×ö¡£¡£¡£ |
4Â¥2011-04-18 14:23:28
ÓÅÑÅС³æ
ľ³æ (Ö°Òµ×÷¼Ò)
- Ó¦Öú: 1 (Ó×¶ùÔ°)
- ½ð±Ò: 2937.1
- É¢½ð: 3599
- ºì»¨: 10
- ɳ·¢: 20
- Ìû×Ó: 3657
- ÔÚÏß: 211.1Сʱ
- ³æºÅ: 1023844
- ×¢²á: 2010-05-20
- ÐÔ±ð: MM
- רҵ: Ó¦ÓÃÊýѧ·½·¨
¡ï ¡ï
Сľ³æ(½ð±Ò+0.5):¸ø¸öºì°ü£¬Ð»Ð»»ØÌû
soliton923(½ð±Ò+1): ÔÚÏ༹߱«Ê½£¬¿ÉÒÔ¿´ÏÂ~~http://emuch.net/bbs/viewthread.php?tid=2127762&fpage=1 2011-04-18 18:34:59
Сľ³æ(½ð±Ò+0.5):¸ø¸öºì°ü£¬Ð»Ð»»ØÌû
soliton923(½ð±Ò+1): ÔÚÏ༹߱«Ê½£¬¿ÉÒÔ¿´ÏÂ~~http://emuch.net/bbs/viewthread.php?tid=2127762&fpage=1 2011-04-18 18:34:59
|
ÇëÎÊÕâ¸öÊÇÔõô±à¼³öÀ´µÄ ÓõÄÊÇʲôÈí¼þ»¹ÊÇ£¿ |

5Â¥2011-04-18 15:18:11
![]() |
6Â¥2011-04-18 15:45:58
Pchief
Ìú¸Ëľ³æ (ÕýʽдÊÖ)
- ÊýѧEPI: 26
- Ó¦Öú: 13 (СѧÉú)
- ¹ó±ö: 0.024
- ½ð±Ò: 10860.9
- ºì»¨: 36
- Ìû×Ó: 987
- ÔÚÏß: 1993.1Сʱ
- ³æºÅ: 52235
- ×¢²á: 2004-09-04
- רҵ: ·ºº¯·ÖÎö
¡ï
Сľ³æ(½ð±Ò+0.5):¸ø¸öºì°ü£¬Ð»Ð»»ØÌû
Сľ³æ(½ð±Ò+0.5):¸ø¸öºì°ü£¬Ð»Ð»»ØÌû
|
ÓÃLatex´ò³öÀ´È»ºó½ØÍ¼£¬²Î¼û£º http://bbs.ctex.org/ http://bbs.ctex.org/viewthread.php?tid=44133 |
7Â¥2011-04-18 15:47:33













»Ø¸´´ËÂ¥
