| 查看: 554 | 回复: 1 | ||
[交流]
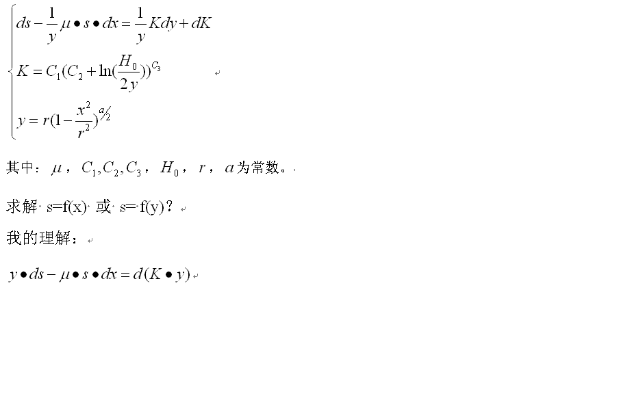
【求助】一个复杂微分方程的求解? 已有1人参与
|
» 本主题相关价值贴推荐,对您同样有帮助:
非齐次方程的求解及求导
已经有3人回复
偏微分方程Matlab求解
已经有7人回复
求解二阶变系数常微分方程
已经有7人回复
微分方程求解(通解中含hypergeom函数)
已经有17人回复
求高手帮我解一阶常微分方程组,非常感谢!!
已经有5人回复
数学物理方程求解!(带边界条件的偏微分方程)
已经有13人回复
偏微分方程数值计算书籍推荐
已经有10人回复
求助matlab求解复杂微分方程
已经有7人回复
帮忙解一个指数方程,非常感谢
已经有9人回复
Matlab求解偏微分方程组
已经有22人回复
高金求助matlab解微分方程组
已经有12人回复
【求助】用mathematica 5.0求解一个非线性方程组失败,特发帖求助!
已经有5人回复
【求助】拉普拉斯求解~~~
已经有8人回复
【求助】请教非齐次常微分方程组的解析解法
已经有4人回复
【求助】急请微分方程高手看下这个方程组!
已经有14人回复
【求助】常微分方程组求解中系数与某变量值关联的问题
已经有12人回复
【求助】常微分方程组的解析解
已经有3人回复
【求助】一个常微分方程的通解
已经有6人回复

wjylihx
金虫 (小有名气)
- 应助: 0 (幼儿园)
- 金币: 1343.8
- 红花: 1
- 帖子: 171
- 在线: 51.3小时
- 虫号: 780116
- 注册: 2009-05-26
- 性别: GG
- 专业: 常微分方程与动力系统

2楼2011-04-09 18:58:08













回复此楼
楼主是不是忘记放图片了,看不见到啊