| 查看: 1324 | 回复: 6 | ||
[求助]
关于导数的问题 已有2人参与
|
|
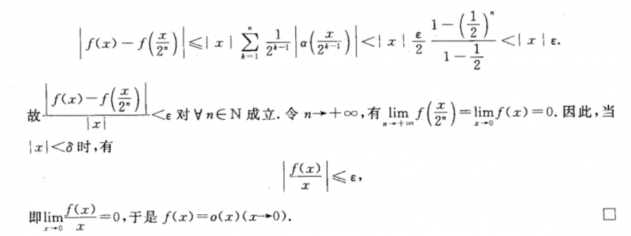
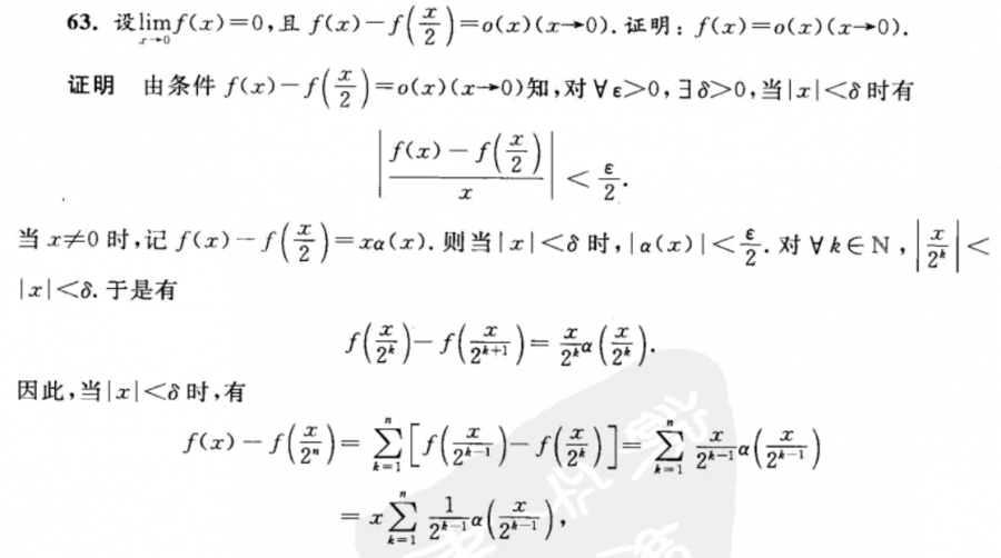
有实数集上的函数f(x), 满足f(0)=0,f(x)在x=0处连续, lim(x→0)((f(2x)-f(x))/x)=1。 则是否有f'(0)=1?如何证明? 发自小木虫Android客户端 |
» 猜你喜欢
085410 273分调剂
已经有3人回复
291分调剂
已经有5人回复
计算机22408 281分,求调剂
已经有3人回复
305求调剂
已经有5人回复
调剂
已经有3人回复
316求调剂
已经有4人回复
304求调剂(085602,过四级,一志愿985)
已经有27人回复
270求调剂
已经有3人回复
312求调剂
已经有4人回复
272分材料子求调剂
已经有40人回复
» 本主题相关价值贴推荐,对您同样有帮助:
关于外导简历问题
已经有9人回复
F16气动导数中角速度pqr的单位问题
已经有2人回复
关于定积分求导数的问题
已经有28人回复
求助:关于泛函导数和泛函积分!
已经有8人回复
关于电导率仪读数的问题
已经有1人回复
请问向量函数的Jacobian(“导数”)在2个不同点之间的差与Lipschitz常值矩阵间的关系
已经有11人回复
关于函数求导的问题
已经有2人回复
关于matlab求导和积分的两个问题
已经有5人回复
关于隐函数的求导一些问题
已经有4人回复
关于B-M方程origin拟合体模量一阶导数为负的问题
已经有1人回复
求助向量函数的导数的上界(范数问题)
已经有4人回复
各位高手,请教一个关于矩阵函数求导的问题
已经有1人回复
关于分数阶微分求导的问题【有正解送红花1朵】
已经有6人回复
udf源项中求导的问题
已经有3人回复
关于磁导率的测量
已经有2人回复
关于导带随NBANDS无限延伸的问题
已经有3人回复
一个关于隐函数求偏导函数的问题
已经有6人回复
关于Ar晶体的热导率模拟
已经有4人回复
分段函数导数的问题疑问???
已经有4人回复
关于伴随方程法求目标函数的导数问题
已经有3人回复
关于应变强化速率θ(应变对应力求偏导数)的问题。
已经有0人回复
我又来了。。。。关于渐近线与可导充要条件的问题~~
已经有7人回复
【求助】请教一个关于复数导数的问题
已经有9人回复
hank612
至尊木虫 (著名写手)
- 数学EPI: 14
- 应助: 225 (大学生)
- 金币: 14270.6
- 散金: 1055
- 红花: 95
- 帖子: 1526
- 在线: 1375.8小时
- 虫号: 2530333
- 注册: 2013-07-03
- 性别: GG
- 专业: 理论和计算化学

2楼2016-07-22 02:02:28
peterflyer
木虫之王 (文学泰斗)
peterflyer
- 数学EPI: 10
- 应助: 20282 (院士)
- 金币: 146242
- 红花: 1374
- 帖子: 93091
- 在线: 7694.3小时
- 虫号: 1482829
- 注册: 2011-11-08
- 性别: GG
- 专业: 功能陶瓷
3楼2016-07-22 09:30:41
4楼2016-07-22 10:22:15
5楼2016-07-22 10:23:53
i维数
木虫 (正式写手)
- 数学EPI: 4
- 应助: 74 (初中生)
- 金币: 3148.6
- 红花: 10
- 帖子: 691
- 在线: 941.9小时
- 虫号: 3691318
- 注册: 2015-02-17
- 性别: GG
- 专业: 偏微分方程
6楼2016-07-22 13:11:38
Edstrayer
版主 (著名写手)
方寸斗室小天地正气迷漫大世界
- 数学EPI: 7
- 应助: 157 (高中生)
- 贵宾: 0.927
- 金币: 9349.6
- 散金: 4503
- 红花: 77
- 沙发: 2
- 帖子: 2745
- 在线: 1465.6小时
- 虫号: 3086598
- 注册: 2014-03-25
- 管辖: 数学

7楼2016-07-22 22:28:07













回复此楼