| 查看: 2001 | 回复: 2 | |
[求助]
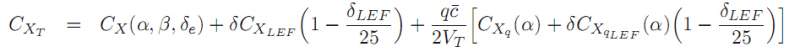
F16气动导数中角速度pqr的单位问题
|
|
|
|
|
zhanghylff木虫 (小有名气)
|
|
|
2楼2015-12-21 12:25:57
|
|
|
3楼2015-12-21 12:39:21
|
|













回复此楼