| 查看: 3618 | 回复: 5 | |||
| 本帖产生 1 个 数学EPI ,点击这里进行查看 | |||
[求助]
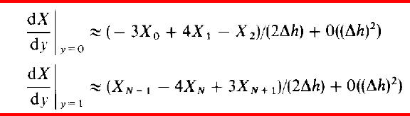
这个一介导数的泰勒展开怎么来的 已有3人参与
|
|||
![]() |
|||
|
|
|||
| 回帖置顶 ( 共有1个 ) | |||
peterflyer
|
【答案】应助回帖
★ ★ ★ ★ ★
感谢参与,应助指数 +1 Edstrayer: 数学EPI+1 2016-01-02 00:27:23 张抛砖: 金币+5, 谢谢 2016-03-20 08:06:54
|
||
|
6楼2015-12-26 11:57:50
|
|
||
| 普通回帖 | |||
遥控小丑金虫 (正式写手)
|
|||
![]() |
|||
|
2楼2015-12-25 19:30:07
|
|
||
遥控小丑金虫 (正式写手)
|
【答案】应助回帖
|
||
![]() |
|||
|
3楼2015-12-25 19:39:50
|
|
||
wurongjun专家顾问 (职业作家)
|
|||
![]() |
|||
|
4楼2015-12-25 21:47:52
|
|
||
遥控小丑金虫 (正式写手)
|
|||
![]() |
|||
|
5楼2015-12-26 00:23:21
|
|
||













回复此楼

