| 查看: 4664 | 回复: 9 | ||
[交流]
用vasp优化晶胞的几点疑问
|
» 本主题相关价值贴推荐,对您同样有帮助:
Vasp截断能测试的问题
已经有10人回复
VASP优化MnO结构如何转化晶胞参数a,b,c?
已经有1人回复
ZrO2 晶胞优化的问题
已经有4人回复
vasp优化晶胞参数变化太大
已经有7人回复
VASP结构优化问题
已经有2人回复
vasp怎么优化晶胞
已经有7人回复
VASP优化几何时,ISIF=3时,如何只改变晶格,而不改变位矢方向.
已经有11人回复
vasp计算三角晶系转换成primitive cell优化后,晶格常数和实验值怎么比较?急求
已经有4人回复
TiO2 晶胞参数优化问题
已经有3人回复
金属催化剂的,vasp貌似收敛不了
已经有4人回复
超晶胞
已经有3人回复
在vasp计算里,有没有好的只优化原子位置和晶胞体积的方法?
已经有8人回复
求助成功:VASP进行体积弛豫时用ISIF=7,如何看弛豫后的结果
已经有7人回复
【活动or资源】vasp晶体结构优化
已经有142人回复
vasp计算掺杂体系的形成能
已经有7人回复
【求助】siesta 优化晶胞
已经有3人回复
【求助】vasp 优化磁性结构
已经有2人回复
【求助】新虫求助!哪位前辈指点一下用vasp做空位缺陷的流程
已经有7人回复
【求助】能否发一份用vasp计算超晶胞某个表面的输入文件给我
已经有7人回复
【求助】Castep中结构优化后晶胞参数差别较大 vasp高手也帮我看一下
已经有22人回复
【原创】用GaussView可视化VASP的结构优化过程
已经有26人回复
【neweroica个人文集】GaussView对VASP的接口程序—— vout2gout (v0.0)
已经有129人回复
2楼2015-08-24 20:10:11
3楼2015-08-24 21:08:56
mlanqiang
木虫之王 (文学泰斗)
蓝博士
- 应助: 3409 (副教授)
- 金币: 55278.8
- 散金: 5498
- 红花: 62
- 帖子: 73916
- 在线: 730.8小时
- 虫号: 302202
- 注册: 2006-12-02
- 性别: GG
- 专业: 胶体与界面化学

4楼2015-08-24 21:23:25
5楼2015-08-24 21:40:35
★ ★ ★ ★ ★ ★
小木虫: 金币+0.5, 给个红包,谢谢回帖
xiewei娜: 金币+5 2015-08-25 11:04:53
小木虫: 金币+0.5, 给个红包,谢谢回帖
xiewei娜: 金币+5 2015-08-25 11:04:53
|
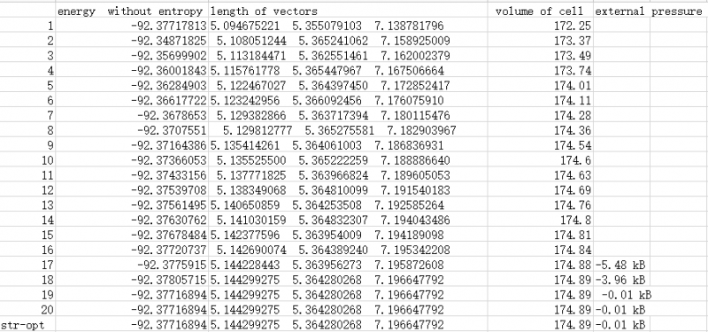
在说我的问题前,我先讲讲我是怎么优化晶胞的:首先我的incar和kpoints中参数设置是来自于文献的,所以我从一开始就设置了文献给出的k点,而没有一步步提高k点。而ENCUT的值同一个体系,有的作者用的是600eV,有的用的是800eV,不知道用哪个好? "那肯定是800eV好!但是这东西要测试,如果600达到你的精度要求了,就没必要800了……" 我的优化步骤是按源资培训里面介绍的来做的,i:优化晶胞参数 ISIF=3,固定原子位置(即在POSCAR文件中原子坐标后加F) ii:原子弛豫 ISIF=2 ,不固定原子位置(默认是不加F的,即T) iii:用vasp算一般结构都是对称性降为P1,最后算完将CONTCAR用ms打开,通过find sysmery--impose sysmetry恢复对称性 以下是我的问题: ①我的这个优化过程可行吗②第一步的时候我不确定到什么时候停止,就把contcar变为poscar重复第一步的计算,最近有一个我重复了20次,最后晶胞参数和总能量都不再变化了,然后我就进行原子弛豫,发现晶胞参数和总能量还是不变,我就不知道我这样做对不对,感觉重复太多次了。应该有一个什么标准来停止晶胞参数的优化这一步呢?我知道的就是看最护两步的总能量和晶胞参数基本一样,但有没有一个什么标准呢?跟incar中设置的EDIFF和EDIFFG有关吗? “姐,你这步骤真详细,但是我想,没有哪个方法,是通用的方法,对于不同的体系,是有不同的方法的,当然,你这个步骤,应该没有问题,但是真麻烦” ③excel中我会列入external pressure是看到文献的一句话 (见图) ,不知是不是指的是最后优化总压力小于+-0.5KB,这个需不需要考虑到优化是否收敛中来? “这个不懂……我都是利用EDIFFG控制” ④关于poscar也就是建模的问题,文献中有两种数据,一种是实验测得的晶胞参数和原子坐标,一种是别人理论计算优化好的晶胞参数和原子坐标,使用哪种数据建模更合适呢? “如果你没有文献参考,当然是用实验的了。但是有文献参考,如果方法和你一样,那当然是用文献的了,但是前提是,文献一定要可靠,比如PRB一类的,或者是知名学者的文献” 以上个人愚见,仅供参考 |

6楼2015-08-25 08:45:19
| 祝福,,,, |
7楼2015-08-25 08:59:50
8楼2015-08-25 11:02:05
9楼2015-08-25 11:06:11
g_wcai
木虫 (正式写手)
开心
- 应助: 35 (小学生)
- 金币: 4696.6
- 红花: 8
- 帖子: 460
- 在线: 163.6小时
- 虫号: 915747
- 注册: 2009-11-29
- 性别: GG
- 专业: 半导体科学与信息器件

10楼2015-08-25 11:18:11














回复此楼