版块导航
正在加载中...
客户端APP下载
登录
注册
帖子
帖子
用户
本版
应《网络安全法》要求,自2017年10月1日起,未进行实名认证将不得使用互联网跟帖服务。为保障您的帐号能够正常使用,请尽快对帐号进行手机号验证,感谢您的理解与支持!
24小时热门版块排行榜
>
论坛更新日志
(3426)
>
虫友互识
(389)
>
文献求助
(387)
>
导师招生
(282)
>
硕博家园
(158)
>
休闲灌水
(157)
>
考博
(143)
>
基金申请
(75)
>
招聘信息布告栏
(72)
>
论文投稿
(68)
>
博后之家
(56)
>
攻关文献(高奖励)
(55)
>
找工作
(32)
>
绿色求助(高悬赏)
(30)
>
教师之家
(24)
>
有机交流
(18)
小木虫论坛-学术科研互动平台
»
专业学科区
»
数学
»
基础数学
»
向后差分格式,求指导
4
1/1
返回列表
查看: 1361 | 回复: 3
只看楼主
@他人
存档
新回复提醒
(忽略)
收藏
在APP中查看
suijiyige
银虫
(小有名气)
应助: 0
(幼儿园)
金币: 2714.9
帖子: 280
在线: 47.7小时
虫号: 3004677
注册: 2014-02-28
性别: GG
专业: 高分子材料的加工与成型
[
求助
]
向后差分格式,求指导
已有1人参与
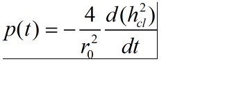
文献上说:猜一个hcl 的值,然后根据如图方程,应用时间项的向后差分格式得到p,不明白是怎么得到的?
r0 为常数,
求解,
无标题555.png
回复此楼
» 猜你喜欢
生物学博士
已经有6人回复
评审感受-评审感受-评审感受
已经有5人回复
窗边初夏的小雨
已经有8人回复
护理论文 晋升
已经有3人回复
2026年申博-电池方向
已经有11人回复
26年申博自荐-计算机视觉
已经有4人回复
导师各种操作恶心咋办
已经有8人回复
2026博士申请求助
已经有5人回复
研究生做的很差,你们会让毕业吗?
已经有11人回复
求碳排放博导;方向是LCA、生命周期可持续发展以及碳排放
已经有7人回复
» 本主题相关价值贴推荐,对您同样有帮助:
SPSS关于单因素方差分析:已知(x±s)求统计值
已经有4人回复
五点中心差分格式得到的差分方程用什么方法求解比较好?
已经有10人回复
matlab可以求解差分方程系统的解吗?
已经有6人回复
对称差分格式是怎么一回事?
已经有4人回复
有限差分法化之后化简为线性方程组
已经有50人回复
离散系统差分方程求解
已经有6人回复
中心差分求解二维热传导的matlab程序
已经有12人回复
请问“差分”的英文翻译是什么?
已经有6人回复
二阶变系数差分方程
已经有11人回复
comsol设置的求解时间长了,没法求解
已经有14人回复
新手,求指导。。差分脉冲伏安与方波伏安的区别是什么
已经有5人回复
COMSOL模拟热传递,有大神懂吗?求指导
已经有7人回复
如何对这个差分方程求解并做出解的图形?谢谢!
已经有4人回复
matlab有限差分法求解复杂的偏微分方程组
已经有19人回复
再次求问,差分电荷密度图的定性分析
已经有17人回复
【求助】MATLAB 有限差分法(FDM)求解偏微分方程
已经有22人回复
1楼
2015-07-02 14:49:40
已阅
回复此楼
关注TA
给TA发消息
送TA红花
TA的回帖
wurongjun
专家顾问
(职业作家)
专家经验: +831
数学EPI: 9
应助: 791
(博后)
贵宾: 0.308
金币: 24609
散金: 310
红花: 75
帖子: 3004
在线: 881.4小时
虫号: 1368482
注册: 2011-08-14
性别: GG
专业: 计算数学与科学工程计算
管辖:
数学
【答案】应助回帖
★ ★ ★ ★ ★ ★ ★ ★ ★ ★
感谢参与,应助指数 +1
suijiyige: 金币+10,
★★★★★
最佳答案
2015-07-02 22:30:09
离散化方法!
f'(t_i)=(f(t_i)-f(t_i-1))/(ti-t_i-1)
赞
一下
回复此楼
» 本帖已获得的红花(最新10朵)
suijiyige
善恶到头终有报,人间正道是沧桑.
2楼
2015-07-02 14:57:08
已阅
回复此楼
关注TA
给TA发消息
送TA红花
TA的回帖
suijiyige
银虫
(小有名气)
应助: 0
(幼儿园)
金币: 2714.9
帖子: 280
在线: 47.7小时
虫号: 3004677
注册: 2014-02-28
性别: GG
专业: 高分子材料的加工与成型
送红花一朵
引用回帖:
2楼
:
Originally posted by
wurongjun
at 2015-07-02 14:57:08
离散化方法!
f'(t_i)=(f(t_i)-f(t_i-1))/(ti-t_i-1)
你好,对于我这个问题,能得到一个对应的p 值吗?能稍微详细点吗?谢谢,t=0时,hcl(t=0)=0
赞
一下
回复此楼
3楼
2015-07-02 15:07:32
已阅
回复此楼
关注TA
给TA发消息
送TA红花
TA的回帖
wurongjun
专家顾问
(职业作家)
专家经验: +831
数学EPI: 9
应助: 791
(博后)
贵宾: 0.308
金币: 24609
散金: 310
红花: 75
帖子: 3004
在线: 881.4小时
虫号: 1368482
注册: 2011-08-14
性别: GG
专业: 计算数学与科学工程计算
管辖:
数学
引用回帖:
3楼
:
Originally posted by
suijiyige
at 2015-07-02 15:07:32
你好,对于我这个问题,能得到一个对应的p 值吗?能稍微详细点吗?谢谢,t=0时,hcl(t=0)=0...
p(t_i)=-8*h(t_i)/r0^2*(h(t_i)-h(t_i-1))/(ti-t_i-1)
知道h(t_i)和h(t_i-1)才能根据上式算出p(t_i)
如果h(0)=0那么p(0)=0,但p(t1)的计算还要知道h(t1)
赞
一下
(1人)
回复此楼
善恶到头终有报,人间正道是沧桑.
4楼
2015-07-02 15:26:12
已阅
回复此楼
关注TA
给TA发消息
送TA红花
TA的回帖
相关版块跳转
数理科学综合
机械
物理
数学
农林
食品
地学
能源
信息科学
土木建筑
航空航天
转基因
我要订阅楼主
suijiyige
的主题更新
4
1/1
返回列表
如果回帖内容含有宣传信息,请如实选中。否则帐号将被全论坛禁言
普通表情
龙
兔
虎
猫
百度网盘
|
360云盘
|
千易网盘
|
华为网盘
在新窗口页面中打开自己喜欢的网盘网站,将文件上传后,然后将下载链接复制到帖子内容中就可以了。
信息提示
关闭
请填处理意见
关闭
确定