²é¿´: 767  |  »Ø¸´: 4

duyang2012

Í­³æ (СÓÐÃûÆø)

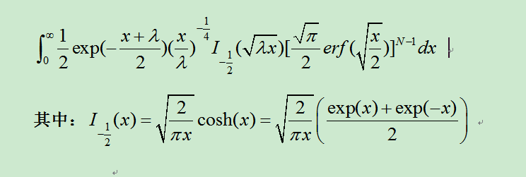
[ÇóÖú] Çó´óÉñ»ý³ö´Ëʽ×Ó»ý·Ö

Çó´óÉñ»ý³ö´Ëʽ×Ó»ý·Ö£¬Íò·Ö¸Ð¼¤£¡£¡£¡

Çó´óÉñ»ý³ö´Ëʽ×Ó»ý·Ö
Çó½â.png
»Ø¸´´ËÂ¥

» ²ÂÄãϲ»¶

» ±¾Ö÷ÌâÏà¹Ø¼ÛÖµÌùÍÆ¼ö£¬¶ÔÄúͬÑùÓаïÖú:

ÒÑÔÄ   »Ø¸´´ËÂ¥   ¹Ø×¢TA ¸øTA·¢ÏûÏ¢ ËÍTAºì»¨ TAµÄ»ØÌû

duyang2012

Í­³æ (СÓÐÃûÆø)

Çó´óÉñ½â´ð£¡£¡£¡
2Â¥2015-06-22 19:59:55
ÒÑÔÄ   »Ø¸´´ËÂ¥   ¹Ø×¢TA ¸øTA·¢ÏûÏ¢ ËÍTAºì»¨ TAµÄ»ØÌû

feixiaolin

ÈÙÓþ°æÖ÷ (ÎÄ̳¾«Ó¢)

ÓÅÐã°æÖ÷

°ÑÔñ³öÀ´£¬È¡u=1/x£¬ÔÚ[0, 1] ¼ä×÷ÊýÖµ»ý·Ö¡£
3Â¥2015-06-23 22:17:14
ÒÑÔÄ   »Ø¸´´ËÂ¥   ¹Ø×¢TA ¸øTA·¢ÏûÏ¢ ËÍTAºì»¨ TAµÄ»ØÌû

fjy919

½ð³æ (³õÈëÎÄ̳)

ÒýÓûØÌû:
3Â¥: Originally posted by feixiaolin at 2015-06-23 22:17:14
°Ñ\lambdaÔñ³öÀ´£¬È¡u=1/x£¬ÔÚ ¼ä×÷ÊýÖµ»ý·Ö¡£

ÄãºÃ£¬ÄãµÄÒâ˼ÊÇÓÃu´ú»»1/xÂð£¿ÄÇuµÄ·¶Î§Ò²Ó¦ÊÇ[0,,inf)£¬ÎªÊ²Ã´Äã˵ÊÇÔÚ[0,1]ÇóÊýÖµ½âÄØ£¿
4Â¥2015-07-16 05:27:18
ÒÑÔÄ   »Ø¸´´ËÂ¥   ¹Ø×¢TA ¸øTA·¢ÏûÏ¢ ËÍTAºì»¨ TAµÄ»ØÌû

feixiaolin

ÈÙÓþ°æÖ÷ (ÎÄ̳¾«Ó¢)

ÓÅÐã°æÖ÷

ÒýÓûØÌû:
4Â¥: Originally posted by fjy919 at 2015-07-16 05:27:18
ÄãºÃ£¬ÄãµÄÒâ˼ÊÇÓÃu´ú»»1/xÂð£¿ÄÇuµÄ·¶Î§Ò²Ó¦ÊÇ[0,,inf)£¬ÎªÊ²Ã´Äã˵ÊÇÔÚÇóÊýÖµ½âÄØ£¿...

x·Ö[0£¬1]£¬[1£¬inf]Á½¶Î£¬ÔÙ¶ÔµÚ2¶ÎÈ¡u=1/x
OK£¿   

[ ·¢×ÔСľ³æ¿Í»§¶Ë ]
5Â¥2015-07-16 05:45:47
ÒÑÔÄ   »Ø¸´´ËÂ¥   ¹Ø×¢TA ¸øTA·¢ÏûÏ¢ ËÍTAºì»¨ TAµÄ»ØÌû
Ïà¹Ø°æ¿éÌø×ª ÎÒÒª¶©ÔÄÂ¥Ö÷ duyang2012 µÄÖ÷Ìâ¸üÐÂ
×î¾ßÈËÆøÈÈÌûÍÆ¼ö [²é¿´È«²¿] ×÷Õß »Ø/¿´ ×îºó·¢±í
[¿¼ÑÐ] ¡¾Ë«Ò»Á÷ԺУÐÂÄÜÔ´¡¢»·¾³²ÄÁÏ£¬²ÄÁϼӹ¤ÓëÄ£ÄâÕÐÊÕ´óÁ¿µ÷¼Á¡¿ +4 Higraduate 2026-03-22 7/350 2026-03-24 11:23 by ÖÖ´óÊ÷
[¿¼ÑÐ] Ò»Ö¾Ô¸ºÓ±±¹¤Òµ´óѧ0817»¯¹¤278·ÖÇóµ÷¼Á +7 jhybd 2026-03-23 12/600 2026-03-24 09:03 by jhybd
[¿¼ÑÐ] 081700 µ÷¼Á 267·Ö +8 ÃÔÈ˵Ĺþ¹þ 2026-03-23 8/400 2026-03-24 08:23 by sunyuanna
[¿¼ÑÐ] ²ÄÁÏרҵÇóµ÷¼Á +11 hanamiko 2026-03-18 11/550 2026-03-23 23:12 by peike
[¿¼ÑÐ] 0854 ¿¼Ñе÷¼Á ÕÐÉúÁË£¡AI ·½Ïò +4 pk3725069 2026-03-19 16/800 2026-03-23 23:09 by Íô£¡£¿£¡
[¿¼ÑÐ] ²ÄÁÏ/ũҵרҵ£¬07/08¿ªÍ·¾ù¿É£¬¹ýÏß¾ÍÐÐ +3 ºÇßíŶ»í 2026-03-23 4/200 2026-03-23 22:30 by Íô£¡£¿£¡
[¿¼ÑÐ] 070300»¯Ñ§Çóµ÷¼Á +8 Ô·¶¹¶¹ 2026-03-20 8/400 2026-03-23 20:57 by baobaoye
[¿¼ÑÐ] Ò»Ö¾Ô¸ÉÂʦ´óÉúÎïѧ071000£¬298·Ö£¬Çóµ÷¼Á +3 SYA£¡ 2026-03-23 3/150 2026-03-23 19:09 by macy2011
[¿¼ÑÐ] 291 Çóµ÷¼Á +4 »¯¹¤2026½ì±ÏÒµÉ 2026-03-21 5/250 2026-03-23 16:46 by »¯¹¤2026½ì±ÏÒµÉ
[¿¼ÑÐ] ²ÄÁÏÓ뻯¹¤¿¼Ñе÷¼Á +4 ‹üÈA 2026-03-22 4/200 2026-03-23 16:13 by Ò»ÐݸçFU
[¿¼ÑÐ] 289Çóµ÷¼Á +7 »³èªÎÕè¤l 2026-03-20 7/350 2026-03-22 15:57 by ColorlessPI
[¿¼ÑÐ] ÉúÎïѧµ÷¼Á +5 Surekei 2026-03-21 5/250 2026-03-22 14:39 by tcx007
[¿¼ÑÐ] Çóµ÷¼Á +5 Zhangbod 2026-03-21 7/350 2026-03-22 13:13 by Zhangbod
[»ù½ðÉêÇë] ɽ¶«Ê¡ÃæÉÏÏîÄ¿ÏÞ¶îÆÀÉó +4 ʯÈð0426 2026-03-19 4/200 2026-03-22 08:50 by Wei_ren
[¿¼ÑÐ] Çóµ÷¼Á +3 13341 2026-03-20 3/150 2026-03-21 18:28 by ѧԱ8dgXkO
[¿¼ÑÐ] ÇóÖú +5 ÃÎÀïµÄÎÞÑÔ 2026-03-21 6/300 2026-03-21 17:51 by ѧԱ8dgXkO
[¿¼ÑÐ] 336Çóµ÷¼Á +5 rmc8866 2026-03-21 5/250 2026-03-21 17:24 by ѧԱ8dgXkO
[¿¼ÑÐ] 22 350 ±¾¿Æ985Çóµ÷¼Á£¬ÇóÀϵÇÊÕÁô +3 ÀîéóÄÐ003 2026-03-20 3/150 2026-03-21 13:28 by ²«»÷518
[¿¼ÑÐ] 085601µ÷¼Á 358·Ö +3 zzzzggh 2026-03-20 4/200 2026-03-21 10:21 by luoyongfeng
[¿¼ÑÐ] 0703»¯Ñ§µ÷¼Á +4 18889395102 2026-03-18 4/200 2026-03-19 16:13 by 30660438
ÐÅÏ¢Ìáʾ
ÇëÌî´¦ÀíÒâ¼û