| 查看: 2776 | 回复: 9 | |||
[交流]
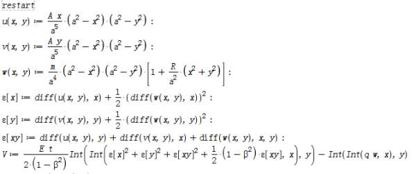
maple二重积分积不出来,积分结果该怎么化简,急急急!!!
|
|||
» 本主题相关价值贴推荐,对您同样有帮助:
计算一道不定积分
已经有11人回复
【求助】一个二重积分问题【已解决】
已经有17人回复
» 抢金币啦!回帖就可以得到:
农药产品分析实验人员招聘
+5/240
安徽农业大学李亚辉教授招收生物、化学、农药学、植保类2026级博士研究生
+1/96
上海交通大学叶天南课题组招聘2026级博士研究生
+1/79
山东理工大学材料学院泰山学者青年专家招收2026年调剂硕士研究生
+1/77
大理大学博士研究生招生
+1/66
吉林师范大学宽禁带半导体材料生长与器件实验室招收2026年入学申请考核制博士生4名
+2/44
齐鲁工业大学(山东省科学院)济南 高校教师招聘 有机化学 事业编
+2/41
哈尔滨工业大学博士招生
+1/37
招聘启事(酶工程与发酵工程方向)
+2/30
电子科技大学材料学院SFT创新中心招收2026年博士生及科研助理
+1/16
坐标南京,高校老师,诚征女友
+1/12
求DNAstar 破解版
+1/12
海南大学-国家级人才团队 招2026级全日制硕士研究生
+1/6
香港城市大学招聘博士后 (有机合成/催化/流动化学)
+1/5
中国科学院金属研究所何杰团队招收2026年9月入学博士生(具有铝合金研究经验者优先)
+1/5
【招聘科研助理】四川大学华西医院Rajeev Kumar助理研究员课题组
+1/4
湖北工业大学2026年博士研究生(生物医药专博+轻工技术与工程学博)
+1/2
青岛科技大学高分子学院--让我们一起做有趣的研究
+1/2
【广西大学 电力机器人课题组 2026 年博士招生:电力机器人、无人机、具身智能 方向】
+1/2
新加坡南洋理工大学- 光电/ 智能传感/ 脑机接口方向 博士后
+1/1
nono2009
超级版主 (文学泰斗)
-

专家经验: +21105 - 应助: 28684 (院士)
- 贵宾: 513.911
- 金币: 2555220
- 帖子: 1602255
- 在线: 65200.9小时
- 虫号: 827383
2楼2013-12-07 20:15:55
7楼2013-12-08 09:28:53
nono2009
超级版主 (文学泰斗)
-

专家经验: +21105 - 应助: 28684 (院士)
- 贵宾: 513.911
- 金币: 2555220
- 帖子: 1602255
- 在线: 65200.9小时
- 虫号: 827383
8楼2013-12-08 09:58:59
9楼2013-12-09 12:51:09
10楼2013-12-10 20:25:10
简单回复
圣战骑士0083楼
2013-12-07 20:18
回复
Tsum(金币+1): 谢谢参与
2013-12-07 20:31
回复
Tsum(金币+1): 谢谢参与
userhung5楼
2013-12-07 21:06
回复
Tsum(金币+1): 谢谢参与
time886楼
2013-12-07 21:07
回复
Tsum(金币+1): 谢谢参与













回复此楼
