| ²é¿´: 2295 | »Ø¸´: 8 | ||||
maskjpľ³æ (СÓÐÃûÆø)
|
[ÇóÖú]
ÓÐÒ»¸öÁùÔª¶þ´Î·½³Ì×飬ÈçºÎÅÐ¶ÏÆäÓÐÎÞʵÊý½â£¿ÇóÌáʾºÍ¹Ø¼ü×Ö£¡£¡ ÒÑÓÐ3È˲ÎÓë
|
| ÓÐÒ»¸öÁùÔª¶þ´Î·½³Ì×飬ÈçºÎÅжÏËüÓÐûÓÐʵÊý½â£¿Èç¹ûÏëÒª½øÐÐÖ¤Ã÷£¬Ó¦¸Ã¿´Ò»Ð©Ê²Ã´ÑùµÄÎÄÏ×£¬ÕâÉæ¼°µ½ÊýѧµÄÄĸö¾ßÌåµÄÁìÓò£¿ÇóÌáʾºÍ¹Ø¼ü×Ö£¡£¡ |
» ²ÂÄãϲ»¶
»¯¹¤Ñ§Ë¶294·Ö£¬Çóµ¼Ê¦ÊÕÁô
ÒѾÓÐ29È˻ظ´
Çóµ÷¼Á
ÒѾÓÐ10È˻ظ´
¿¼ÑÐÇóµ÷¼Á
ÒѾÓÐ13È˻ظ´
Çóµ÷¼Á
ÒѾÓÐ3È˻ظ´
È˹¤ÖÇÄÜ320µ÷¼Á08¹¤À໹Óлú»áÂð
ÒѾÓÐ17È˻ظ´
¿¼ÑÐÓ¢Ò»ÊýÒ»338·Ö
ÒѾÓÐ10È˻ظ´
ÇóÖúµ÷¼Á£¬¿çµ÷
ÒѾÓÐ15È˻ظ´
085600²ÄÁÏÓ뻯¹¤329·ÖÇóµ÷¼Á
ÒѾÓÐ20È˻ظ´
085600²ÄÁÏÓ뻯¹¤349·ÖÇóµ÷¼Á
ÒѾÓÐ15È˻ظ´
Çóµ÷¼Á
ÒѾÓÐ13È˻ظ´
» ±¾Ö÷ÌâÏà¹Ø¼ÛÖµÌùÍÆ¼ö£¬¶ÔÄúͬÑùÓаïÖú:
Çë½Ìǰ±²£º¸Ã¶þÔª¶þ½×΢·Ö·½³Ì×éÖеÄÁ½¸ö±äÁ¿µÄ±í´ïʽÈçºÎÇóÄØ£¿
ÒѾÓÐ16È˻ظ´
Çó½âÒ»¸ö΢·Ö·½³Ì£¬ÁíÇë½Ì΢·Ö·½³ÌÈçºÎÈ·¶¨ÆäÓÐÎ޽⣿
ÒѾÓÐ7È˻ظ´
Çó½â¶þÔª¶þ´Î·½³Ì×é
ÒѾÓÐ34È˻ظ´
Çó¸ßÊÖ½âÒ»¸ö¶þÔª¶þ´Î·½³Ì×éµÄ½âÎö½â
ÒѾÓÐ9È˻ظ´
³õѧÕߣ¬Çë½Ì´ó¼Ò¹ØÓÚmatlab½â¶àÔª¶þ´Î·½³Ì×é
ÒѾÓÐ4È˻ظ´
kobeyou
гæ (³õÈëÎÄ̳)
- Ó¦Öú: 1 (Ó×¶ùÔ°)
- ½ð±Ò: 255.6
- Ìû×Ó: 9
- ÔÚÏß: 22.4Сʱ
- ³æºÅ: 3812118
- ×¢²á: 2015-04-15
2Â¥2015-06-11 16:45:43
wurongjun
ר¼Ò¹ËÎÊ (Ö°Òµ×÷¼Ò)
-

ר¼Ò¾Ñé: +831 - ÊýѧEPI: 9
- Ó¦Öú: 791 (²©ºó)
- ¹ó±ö: 0.308
- ½ð±Ò: 24609
- É¢½ð: 310
- ºì»¨: 75
- Ìû×Ó: 3004
- ÔÚÏß: 881.4Сʱ
- ³æºÅ: 1368482
- ×¢²á: 2011-08-14
- ÐÔ±ð: GG
- רҵ: ¼ÆËãÊýѧÓë¿ÆÑ§¹¤³Ì¼ÆËã
- ¹ÜϽ: Êýѧ

3Â¥2015-06-11 17:54:42
maskjp
ľ³æ (СÓÐÃûÆø)
- Ó¦Öú: 0 (Ó×¶ùÔ°)
- ½ð±Ò: 2104.2
- É¢½ð: 30
- Ìû×Ó: 73
- ÔÚÏß: 17.5Сʱ
- ³æºÅ: 2400318
- ×¢²á: 2013-04-04
- רҵ: ÖÆÔìϵͳÓë×Ô¶¯»¯
4Â¥2015-06-11 18:02:54
wurongjun
ר¼Ò¹ËÎÊ (Ö°Òµ×÷¼Ò)
-

ר¼Ò¾Ñé: +831 - ÊýѧEPI: 9
- Ó¦Öú: 791 (²©ºó)
- ¹ó±ö: 0.308
- ½ð±Ò: 24609
- É¢½ð: 310
- ºì»¨: 75
- Ìû×Ó: 3004
- ÔÚÏß: 881.4Сʱ
- ³æºÅ: 1368482
- ×¢²á: 2011-08-14
- ÐÔ±ð: GG
- רҵ: ¼ÆËãÊýѧÓë¿ÆÑ§¹¤³Ì¼ÆËã
- ¹ÜϽ: Êýѧ
¡¾´ð°¸¡¿Ó¦Öú»ØÌû
¡ï ¡ï ¡ï ¡ï ¡ï ¡ï ¡ï ¡ï ¡ï ¡ï
maskjp: ½ð±Ò+10, ¡ï¡ï¡ïºÜÓаïÖú 2015-10-04 12:43:18
maskjp: ½ð±Ò+10, ¡ï¡ï¡ïºÜÓаïÖú 2015-10-04 12:43:18
|
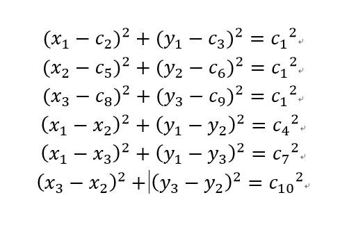
ÓÉ·½³ÌµÄ¼¸ºÎÒâÒå³ö·¢,±È½ÏÈÝÒ×! ǰÈý¸ö·½³ÌµÄ¼¸ºÎÒâÒåΪ: (x1,y1),(x2,y2),(x3,y3)·Ö±ðÔÚÈý¸ö°ë¾¶Îª|c1|µÄÇòÃæÉÏ! ºóÈý¸ö·½³ÌÊÇ˵ÕâÈý¸öµãÖ®¼äµÄ¾àÀë·Ö±ðΪ:|c4|,|c7|,|c10| ÒªÅжÏÊÇ·ñÓнâ,¿ÉÒÔ´ÓÈý¸öÔ²ÐĵľàÀëÓëÏàÓ¦µãÖ®¼äµÄ¾àÀëµÄ¹ØÏµ³ö·¢! ±ÈÈç,|c4|Èç¹û´óÓÚ(c2,c3)µ½(c5,c6)µÄ¾àÀë+2|c1|¾ÍûÓнâ! ÀàËÆµÄ¼¸¸öÌõÄã×Ô¼ºÍưÉ! |

5Â¥2015-06-11 18:57:01
maskjp
ľ³æ (СÓÐÃûÆø)
- Ó¦Öú: 0 (Ó×¶ùÔ°)
- ½ð±Ò: 2104.2
- É¢½ð: 30
- Ìû×Ó: 73
- ÔÚÏß: 17.5Сʱ
- ³æºÅ: 2400318
- ×¢²á: 2013-04-04
- רҵ: ÖÆÔìϵͳÓë×Ô¶¯»¯
6Â¥2015-06-12 11:12:15
ÄÑд°¡
гæ (ÕýʽдÊÖ)
- Ó¦Öú: 22 (СѧÉú)
- ½ð±Ò: 424.6
- É¢½ð: 1
- ºì»¨: 8
- Ìû×Ó: 619
- ÔÚÏß: 195.7Сʱ
- ³æºÅ: 1119917
- ×¢²á: 2010-10-11
- רҵ: È˹¤ÖÇÄÜÓë֪ʶ¹¤³Ì

7Â¥2015-06-19 17:57:13
hank612
ÖÁ×ðľ³æ (ÖøÃûдÊÖ)
- ÊýѧEPI: 14
- Ó¦Öú: 225 (´óѧÉú)
- ½ð±Ò: 14270.6
- É¢½ð: 1055
- ºì»¨: 95
- Ìû×Ó: 1526
- ÔÚÏß: 1375.8Сʱ
- ³æºÅ: 2530333
- ×¢²á: 2013-07-03
- ÐÔ±ð: GG
- רҵ: ÀíÂۺͼÆË㻯ѧ

8Â¥2015-06-19 23:32:33
feixiaolin
ÈÙÓþ°æÖ÷ (ÎÄ̳¾«Ó¢)
-

ר¼Ò¾Ñé: +518 - Ó¦Öú: 942 (²©ºó)
- ¹ó±ö: 1.275
- ½ð±Ò: 3880
- É¢½ð: 58785
- ºì»¨: 532
- ɳ·¢: 11
- Ìû×Ó: 24215
- ÔÚÏß: 2601.8Сʱ
- ³æºÅ: 2139575
- ×¢²á: 2012-11-21
- רҵ: ¹âѧÐÅÏ¢»ñÈ¡Óë´¦Àí
- ¹ÜϽ: Êýѧ
9Â¥2015-06-20 07:30:16














»Ø¸´´ËÂ¥