24小时热门版块排行榜    

Znn3bq.jpeg
查看: 1715  |  回复: 2

念潇湘1202

铜虫 (小有名气)

[求助] 编程将线性方程组写入MATLAB中并计算,画图

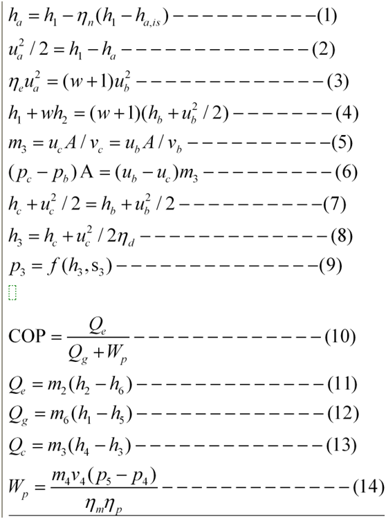
方程组有如下:

需要将这一组方程写入MATLAB,
前4个公式可以计算得到:ha,ua,ub,hb,其余字母均为已知量
式子567为迭代方程,设uc为初值
计算得到,vc,pc,hc;与查表得到的hc相等则迭代结束。
计算式子89得到h3,p3

想通过最后5个式子得到COP与w;Wp与w的关系图
如何编程将这些方程写入MATLAB并计算,谢谢,在线请教,MATLAB小白

编程将线性方程组写入MATLAB中并计算,画图
程序图片20150609155644.png
回复此楼

» 猜你喜欢

» 本主题相关价值贴推荐,对您同样有帮助:

在路上
已阅   回复此楼   关注TA 给TA发消息 送TA红花 TA的回帖

念潇湘1202

铜虫 (小有名气)

2楼2015-06-09 16:57:18
已阅   回复此楼   关注TA 给TA发消息 送TA红花 TA的回帖

念潇湘1202

铜虫 (小有名气)

ding yixia .....
在路上
3楼2015-06-10 10:46:04
已阅   回复此楼   关注TA 给TA发消息 送TA红花 TA的回帖
相关版块跳转 我要订阅楼主 念潇湘1202 的主题更新
最具人气热帖推荐 [查看全部] 作者 回/看 最后发表
[考博] 化学专业申博 +3 赵子羊 2026-05-23 4/200 2026-05-24 18:10 by 工大学长
[硕博家园] 售SCI一区T0P文章,我:8.O.5.5.1.O.5.4,科目齐全,可+急 +3 1rx34o113h 2026-05-23 3/150 2026-05-24 17:41 by 0i3mu4vkjz
[基金申请] 评审有感 +16 popular289 2026-05-18 27/1350 2026-05-24 17:34 by hhs666
[教师之家] 论文撤稿了 +4 bjvtcliu 2026-05-24 7/350 2026-05-24 17:29 by bjvtcliu
[博后之家] 售SCI一区T0P文章,我:8.O.5.5.1.O.5.4,科目齐全,可+急 +3 hvkbtfonbv 2026-05-23 3/150 2026-05-24 17:10 by 75ui6h7z2t
[考博] 售SCI一区T0P文章,我:8.O.5.5.1.O.5.4,科目齐全,可+急 +3 hvkbtfonbv 2026-05-23 3/150 2026-05-24 17:01 by 75ui6h7z2t
[考研] 售SCI一区T0P文章,我:8.O.5.5.1.O.5.4,科目齐全,可+急 +3 a2tycdlnq1 2026-05-23 5/250 2026-05-24 16:21 by hhx1yx9evi
[论文投稿] 售SCI一区T0P文章,我:8.O.5.5.1.O.5.4,科目齐全,可+急 +3 a2tycdlnq1 2026-05-23 4/200 2026-05-24 16:16 by hhx1yx9evi
[基金申请] 河北省自然科学基金 +6 Peterchao 2026-05-18 9/450 2026-05-24 16:02 by 130067131
[硕博家园] 售SCI一区T0P文章,我:8.O.5.5.1.O.5.4,科目齐全,可+急 +4 pmo95bazuy 2026-05-23 8/400 2026-05-24 15:56 by 1uy1ht2y9r
[基金申请] 西安交大新媒学院副院长用撤稿论文结题 +3 bjvtcliu 2026-05-24 5/250 2026-05-24 10:16 by kudofaye
[教师之家] 某211大学教师把个人教师官方主页改成:我跑了我跑了我跑了!官宣跑路! +4 zju2000 2026-05-21 5/250 2026-05-24 09:35 by songwz
[考博] 博士申请 +3 焦晓明 2026-05-21 3/150 2026-05-23 11:26 by mlc840311
[基金申请] 国自然评分 +4 无名者登山 2026-05-20 5/250 2026-05-21 16:35 by swuq
[基金申请] 国自然上会要求 +7 无名者登山 2026-05-18 11/550 2026-05-21 15:50 by draco1987
[基金申请] 提交了我也来说说感想 +9 fummck 2026-05-20 10/500 2026-05-21 14:17 by draco1987
[有机交流] 反应很差,大量原料没有反应 5+3 Mr.Zot 2026-05-19 8/400 2026-05-20 22:19 by Equinoxhua
[考博] 如果工作了想读博,可以边工作边读全日制嘛? 30+3 铁达火车 2026-05-18 5/250 2026-05-20 09:33 by tfang
[考博] 博士申请 +5 星…… 2026-05-18 6/300 2026-05-18 23:49 by 糊糊涂涂好
[硕博家园] 我在等一个没有答案的答案 +3 Love_MH 2026-05-17 3/150 2026-05-18 02:22 by 竹林孤影
信息提示
请填处理意见