| ²é¿´: 2794 | »Ø¸´: 11 | ||
ÓÒÊÖÎÕÅÚгæ (СÓÐÃûÆø)
|
[ÇóÖú]
×Ô¼º±àÁ˸ömatlabÊý¾ÝÄâºÏ¹«Ê½£¬ÄâºÏ³É¹¦µ«²»ÏÔʾ²ÎÊý£¬ÇëÎÊÎÊÌâ³öÔÚÄÄÁË£¿ ÒÑÓÐ2È˲ÎÓë
|
|
|
³ÌÐò´úÂëÈçÏ data1=xlsread('C:\Users\dell\Desktop\Êý¾ÝÄâºÏ\н¨ Microsoft Excel ¹¤×÷±í.xlsx',1,'a1:a100'); data=xlsread('C:\Users\dell\Desktop\Êý¾ÝÄâºÏ\н¨ Microsoft Excel ¹¤×÷±í.xlsx',1,'B1:B100'); x=[data1]; y=[data]; p=fittype('a^x*(b-c)+c','independent','x', 'dependent', 'y') f=fit(x,y,p); plot(f,x,y); p = General model: p(a,b,c,x) = a^x*(b-c)+c ¾¯¸æ: Start point not provided, choosing random start point. > In Warning>Warning.throw at 30 In fit>iFit at 312 In fit at 108 ûÓÐÏÔʾ³öabcµÄ½á¹û¡£¡£¡£ÕâÊÇÔõô»ØÊ£¿Çó¸ßÊÖÖ¸µã¡£¡£¡£ |
» ²ÂÄãϲ»¶
Ò»Ö¾Ô¸»ªÄÏÀí¹¤´óѧ331·Ö²ÄÁÏÇóµ÷¼Á
ÒѾÓÐ11È˻ظ´
271Çóµ÷¼Á
ÒѾÓÐ40È˻ظ´
Çóµ÷¼ÁѧУ
ÒѾÓÐ3È˻ظ´
332Çóµ÷¼Á
ÒѾÓÐ15È˻ظ´
297Çóµ÷¼Á
ÒѾÓÐ25È˻ظ´
±¾¿ÆÎ÷¹¤´ó 324Çóµ÷¼Á
ÒѾÓÐ5È˻ظ´
297¹¤¿Æµ÷¼Á?
ÒѾÓÐ7È˻ظ´
µ÷¼Á
ÒѾÓÐ11È˻ظ´
08¹¤Ñ§ 309·ÖÇóµ÷¼Á
ÒѾÓÐ7È˻ظ´
¸÷λÀÏʦºÃ£¬Çóµ÷¼Á£¬±¾¿Æ211£¬Ò»Ö¾Ô¸Ìì½ò´óѧÉúÎïÓëҽҩѧ˶£¬²îÁ½Ãû¼ȡ¡£
ÒѾÓÐ9È˻ظ´
» ±¾Ö÷ÌâÏà¹Ø¼ÛÖµÌùÍÆ¼ö£¬¶ÔÄúͬÑùÓаïÖú:
matlab Êý¾ÝÄâºÏ£¬ÇóÖ¸½Ì£¡
ÒѾÓÐ9È˻ظ´
ʹÓÃMATLABÄâºÏ¶¯Á¦Ñ§²ÎÊýÎÊÌâ
ÒѾÓÐ18È˻ظ´
MatlabͬʱÄâºÏ»î»¯ÄÜ£¬·´Ó¦¼¶Êý£¬ËÙÂʳ£Êý
ÒѾÓÐ26È˻ظ´
MATLABÇúÏßÄâºÏ
ÒѾÓÐ10È˻ظ´
¹ØÓÚmatlabÁ½¸ö×Ô±äÁ¿¡¢Ò»¸öÒò±äÁ¿ÇúÏßÄâºÏÎÊÌâ
ÒѾÓÐ3È˻ظ´
ÇóÖúÓÃmatlabÄâºÏ¶¯Á¦Ñ§·½³Ì
ÒѾÓÐ13È˻ظ´
matlab ÄâºÏ·½·¨
ÒѾÓÐ4È˻ظ´
matlab ÄâºÏÇóÖú
ÒѾÓÐ8È˻ظ´
¹ØÓÚmatlabÄâºÏ
ÒѾÓÐ4È˻ظ´
ͨ¹ýʵÑéÊý¾ÝÄâºÏ£¬Çó½â¹«Ê½ÖеIJÎÊý
ÒѾÓÐ14È˻ظ´
½ô¼±ÇóÖú£¬ÀûÓÃMatlab¶ÔʵÑéÊý¾Ý½øÐÐÄâºÏÇó½â²ÎÊý¡£
ÒѾÓÐ27È˻ظ´
matlabÊý¾ÝÄâºÏÎÊÌâÇóÖú
ÒѾÓÐ7È˻ظ´
matlab¸ßÊÖ°ïæ×ö¸ö×Ô¶¨Ò帴ÔÓº¯ÊýÄâºÏ£¬º¬Óи´Êý£¬
ÒѾÓÐ25È˻ظ´
matlab ÄâºÏ·´Ó¦¶¯Á¦Ñ§²ÎÊý½á¹ûºÜ²î¡£´ó¼Ò°ïæ¿´Ò»ÏÂ
ÒѾÓÐ14È˻ظ´
matlabÄâºÏÇóÖµ
ÒѾÓÐ17È˻ظ´
¡¾ÇóÖú¡¿ÓÃmatlab×îÓÅ»¯·½·¨½øÐвÎÊýÄâºÏ
ÒѾÓÐ17È˻ظ´
¡¾ÇóÖú¡¿Ê¹ÓÃMATLABÄâºÏ³ö°´ÕÕ¹«Ê½µÄϵÊý
ÒѾÓÐ19È˻ظ´
¡¾ÇóÖú¡¿matlabÓй«Ê½µÄÇúÏßÄâºÏ
ÒѾÓÐ7È˻ظ´

angocn
ÖÁ×ðľ³æ (ÎÄ̳¾«Ó¢)
- Ó¦Öú: 206 (´óѧÉú)
- ½ð±Ò: 17574
- É¢½ð: 100
- ºì»¨: 33
- Ìû×Ó: 11967
- ÔÚÏß: 451.9Сʱ
- ³æºÅ: 2595191
- ×¢²á: 2013-08-13
- ÐÔ±ð: GG
- רҵ: ¹âѧ
|
Èç¹ûÊÇÕâÑùµÄ»°£¬´Ó´ÓÓï¾ä¿´£¬abcÓ¦¸ÃÊÇ´í·ÅÔÚpÀïÃæµÄ£¬¾ßÌåÊÇÔõÑùµÄ£¬Äã¿ÉÒÔÔÚmatlabÀïÃæ´òhelp fittype²éѯһÏ£¬ÎÒÏÖÔÚÊÖÍ·µçÄÔÀïûÓÐmatlab£¬¿´²»ÁË¡£ |

9Â¥2015-05-28 22:26:10
monkeyking0
ľ³æ (ÕýʽдÊÖ)
- Ó¦Öú: 3 (Ó×¶ùÔ°)
- ½ð±Ò: 2157
- É¢½ð: 2291
- ºì»¨: 5
- Ìû×Ó: 387
- ÔÚÏß: 334.7Сʱ
- ³æºÅ: 3087664
- ×¢²á: 2014-03-25
- רҵ: ȼÉÕѧ
11Â¥2015-05-29 10:34:22
monkeyking0
ľ³æ (ÕýʽдÊÖ)
- Ó¦Öú: 3 (Ó×¶ùÔ°)
- ½ð±Ò: 2157
- É¢½ð: 2291
- ºì»¨: 5
- Ìû×Ó: 387
- ÔÚÏß: 334.7Сʱ
- ³æºÅ: 3087664
- ×¢²á: 2014-03-25
- רҵ: ȼÉÕѧ
¡¾´ð°¸¡¿Ó¦Öú»ØÌû
¡ï ¡ï ¡ï ¡ï ¡ï ¡ï ¡ï ¡ï ¡ï ¡ï ¡ï ¡ï ¡ï ¡ï ¡ï ¡ï ¡ï ¡ï ¡ï ¡ï ¡ï ¡ï ¡ï ¡ï ¡ï ¡ï ¡ï ¡ï ¡ï ¡ï ¡ï ¡ï ¡ï ¡ï ¡ï ¡ï ¡ï ¡ï ¡ï ¡ï ¡ï ¡ï ¡ï ¡ï ¡ï ¡ï ¡ï ¡ï ¡ï ¡ï
¸Ðл²ÎÓ룬ӦÖúÖ¸Êý +1
ÓÒÊÖÎÕÅÚ: ½ð±Ò+50, ¡ï¡ï¡ï¡ï¡ï×î¼Ñ´ð°¸, Ì«¸ÐлÀ 2015-05-29 14:18:03
¸Ðл²ÎÓ룬ӦÖúÖ¸Êý +1
ÓÒÊÖÎÕÅÚ: ½ð±Ò+50, ¡ï¡ï¡ï¡ï¡ï×î¼Ñ´ð°¸, Ì«¸ÐлÀ 2015-05-29 14:18:03
2Â¥2015-05-28 20:27:38
ÓÒÊÖÎÕÅÚ
гæ (СÓÐÃûÆø)
- Ó¦Öú: 0 (Ó×¶ùÔ°)
- ½ð±Ò: 4734.4
- Ìû×Ó: 119
- ÔÚÏß: 179.8Сʱ
- ³æºÅ: 2536380
- ×¢²á: 2013-07-07
- ÐÔ±ð: GG
- רҵ: ȼÉÕѧ
|
¶àлÐǪ̈£¬ÎҰѳÌÐò¸Ä³ÉÕâ¸ö£¬Ã»¾¯¸æÁË£¬µ«²»ÏÔʾabcµÄÖµ²»ÖªÊÇÔõô»ØÊ£¬¸½excel±í¸ñ data1=xlsread('C:\Users\dell\Desktop\Êý¾ÝÄâºÏ\н¨ Microsoft Excel ¹¤×÷±í.xlsx',1,'a1:a100'); data=xlsread('C:\Users\dell\Desktop\Êý¾ÝÄâºÏ\н¨ Microsoft Excel ¹¤×÷±í.xlsx',1,'B1:B100'); x=[data1]; y=[data]; p=fittype('a^x*(b-c)+c','independent','x', 'dependent', 'y'); opt=fitoptions(p); opt.StartPoint=[0.7 1 0.7]; f=fit(x,y,p,opt); plot(f,x,y); |

3Â¥2015-05-28 21:09:44
ÓÒÊÖÎÕÅÚ
гæ (СÓÐÃûÆø)
- Ó¦Öú: 0 (Ó×¶ùÔ°)
- ½ð±Ò: 4734.4
- Ìû×Ó: 119
- ÔÚÏß: 179.8Сʱ
- ³æºÅ: 2536380
- ×¢²á: 2013-07-07
- ÐÔ±ð: GG
- רҵ: ȼÉÕѧ
|
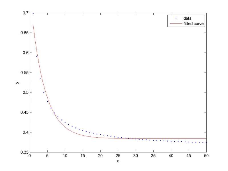
x=1µ½50 y=0.69869602 0.590282096 0.53444396 0.50040014 0.477474302 0.4609846 0.44855435 0.438848807 0.431060579 0.424672595 0.419338377 0.414817048 0.410935948 0.407568082 0.404617959 0.402012394 0.399694353 0.397618734 0.395749397 0.394057046 0.392517681 0.391111457 0.389821815 0.388634834 0.387538726 0.38652344 0.385580354 0.384702032 0.383882023 0.383114707 0.382395163 0.381719064 0.381082591 0.38048236 0.37991536 0.379378906 0.378870595 0.378388268 0.377929983 0.377493986 0.37707869 0.376682654 0.376304569 0.375943242 0.375597582 0.375266593 0.374949359 0.374645041 0.374352865 0.37407212 |

4Â¥2015-05-28 21:13:53
angocn
ÖÁ×ðľ³æ (ÎÄ̳¾«Ó¢)
- Ó¦Öú: 206 (´óѧÉú)
- ½ð±Ò: 17574
- É¢½ð: 100
- ºì»¨: 33
- Ìû×Ó: 11967
- ÔÚÏß: 451.9Сʱ
- ³æºÅ: 2595191
- ×¢²á: 2013-08-13
- ÐÔ±ð: GG
- רҵ: ¹âѧ

5Â¥2015-05-28 21:25:20
ÓÒÊÖÎÕÅÚ
гæ (СÓÐÃûÆø)
- Ó¦Öú: 0 (Ó×¶ùÔ°)
- ½ð±Ò: 4734.4
- Ìû×Ó: 119
- ÔÚÏß: 179.8Сʱ
- ³æºÅ: 2536380
- ×¢²á: 2013-07-07
- ÐÔ±ð: GG
- רҵ: ȼÉÕѧ

6Â¥2015-05-28 21:32:12
angocn
ÖÁ×ðľ³æ (ÎÄ̳¾«Ó¢)
- Ó¦Öú: 206 (´óѧÉú)
- ½ð±Ò: 17574
- É¢½ð: 100
- ºì»¨: 33
- Ìû×Ó: 11967
- ÔÚÏß: 451.9Сʱ
- ³æºÅ: 2595191
- ×¢²á: 2013-08-13
- ÐÔ±ð: GG
- רҵ: ¹âѧ

7Â¥2015-05-28 21:45:01
ÓÒÊÖÎÕÅÚ
гæ (СÓÐÃûÆø)
- Ó¦Öú: 0 (Ó×¶ùÔ°)
- ½ð±Ò: 4734.4
- Ìû×Ó: 119
- ÔÚÏß: 179.8Сʱ
- ³æºÅ: 2536380
- ×¢²á: 2013-07-07
- ÐÔ±ð: GG
- רҵ: ȼÉÕѧ
|
¸çÃÇ£¬ÕâÊÇɶÇé¿ö£¬ÎÒÇÃÁËÖ®ºó³öÏÖÕâ¸ödata1=xlsread('C:\Users\dell\Desktop\Êý¾ÝÄâºÏ\н¨ Microsoft Excel ¹¤×÷±í.xlsx',1,'a1:a100'); data=xlsread('C:\Users\dell\Desktop\Êý¾ÝÄâºÏ\н¨ Microsoft Excel ¹¤×÷±í.xlsx',1,'B1:B100'); x=[data1]; y=[data]; p=fittype('a^x*(b-c)+c','independent','x', 'dependent', 'y'); opt=fitoptions(p); opt.StartPoint=[0 1 0]; f=fit(x,y,p,opt); plot(f,x,y);a,b,c 䶨Ò庯Êý»ò±äÁ¿ 'a'¡£ 䶨Ò庯Êý»ò±äÁ¿ 'a'¡£ |

8Â¥2015-05-28 21:53:10
ÓÒÊÖÎÕÅÚ
гæ (СÓÐÃûÆø)
- Ó¦Öú: 0 (Ó×¶ùÔ°)
- ½ð±Ò: 4734.4
- Ìû×Ó: 119
- ÔÚÏß: 179.8Сʱ
- ³æºÅ: 2536380
- ×¢²á: 2013-07-07
- ÐÔ±ð: GG
- רҵ: ȼÉÕѧ

10Â¥2015-05-28 22:45:38














»Ø¸´´ËÂ¥