| ²é¿´: 4169 | »Ø¸´: 7 | ||
chenghehe321Ìú³æ (³õÈëÎÄ̳)
|
[ÇóÖú]
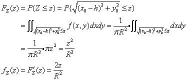
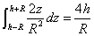
Ô²ÄÚËæ»úµãµ½Ô²ÍâÒ»µãµÄ¾àÀëµÄ¸ÅÂÊ·Ö²¼
|
|
![]() |
||
|
|
||
hank612ÖÁ×ðľ³æ (ÖøÃûдÊÖ)
|
¡ï ¡ï ¡ï ¡ï ¡ï
pippi6: 2015-05-27 16:20:09 chenghehe321(pippi6´ú·¢): ½ð±Ò+5 2015-05-27 16:21:11
|
|
![]() |
||
|
2Â¥2015-05-26 08:21:48
|
|
|
hank612ÖÁ×ðľ³æ (ÖøÃûдÊÖ)
|
||
![]() |
||
|
3Â¥2015-05-26 08:43:30
|
|
|
hank612ÖÁ×ðľ³æ (ÖøÃûдÊÖ)
|
||
![]() |
||
|
4Â¥2015-05-26 10:56:17
|
|
|
chenghehe321Ìú³æ (³õÈëÎÄ̳)
|
||
![]() |
||
|
5Â¥2015-05-26 16:16:10
|
|
|
chenghehe321Ìú³æ (³õÈëÎÄ̳)
|
||
![]() |
||
|
6Â¥2015-05-27 14:21:25
|
|
|
xiaomishangÌú³æ (³õÈëÎÄ̳)
|
||
![]() |
||
|
7Â¥2016-10-19 16:50:58
|
|
|
ÐÞÖñÒÀÃ׾³æ (СÓÐÃûÆø)
|
||
|
8Â¥2016-10-19 21:28:09
|
|













»Ø¸´´ËÂ¥