版块导航
正在加载中...
客户端APP下载
论文辅导
调剂小程序
登录
注册
帖子
帖子
用户
本版
应《网络安全法》要求,自2017年10月1日起,未进行实名认证将不得使用互联网跟帖服务。为保障您的帐号能够正常使用,请尽快对帐号进行手机号验证,感谢您的理解与支持!
24小时热门版块排行榜
>
论坛更新日志
(556)
>
虫友互识
(59)
>
考博
(24)
>
导师招生
(12)
>
文献求助
(11)
>
博后之家
(5)
>
考研
(5)
>
论文投稿
(5)
>
休闲灌水
(5)
>
论文道贺祈福
(4)
>
教师之家
(4)
>
硕博家园
(4)
>
找工作
(4)
>
基金申请
(3)
>
公派出国
(3)
>
竞技体育
(1)
小木虫论坛-学术科研互动平台
»
化学化工区
»
电化学
»
电分析测试
»
急求交流阻抗图谱分析,在线等
2
1/1
返回列表
查看: 464 | 回复: 1
只看楼主
@他人
存档
新回复提醒
(忽略)
收藏
在APP中查看
qiqikuikui
新虫
(正式写手)
应助: 0
(幼儿园)
金币: 2753.9
散金: 5398
红花: 5
帖子: 315
在线: 67小时
虫号: 3457167
注册: 2014-10-06
性别:
MM
专业: 生化分析及生物传感
[
求助
]
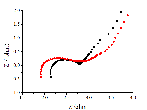
急求交流阻抗图谱分析,在线等
交流阻抗图谱如下,不会分析,希望懂的大神们帮忙分析一下,越具体越好,谢谢!
放大图.png
原图.png
回复此楼
» 猜你喜欢
德国Karlsruhe Institute of Technology招收电化学储能及联合培养CSC博士等
已经有20人回复
德国Karlsruhe Institute of Technology招收电化学储能及联合培养CSC博士
已经有24人回复
分析化学论文润色/翻译怎么收费?
已经有212人回复
德国Karlsruhe Institute of Technology招收电化学储能及联合培养CSC博士
已经有1人回复
固态锂金属电池迁移数计算求助
已经有1人回复
荷兰奈梅亨大学赵文博与Galimberti课题组招收理论计算CSC博士 2000 欧元/月+房补
已经有0人回复
26储能博士申请自荐
已经有22人回复
上海交通大学--宁波东方理工大学电池方向博士招生
已经有10人回复
海南大学全国重点实验室杨金霖老师招收储能电池方向博士生(2026年3月报名,9月入学)
已经有0人回复
海南师范大学2026年博士研究生招收 (在职想提升学历人员可报考) 申请考核制+普通招考
已经有0人回复
申博求助
已经有0人回复
» 本主题相关价值贴推荐,对您同样有帮助:
阻抗图分析?求神帮助!
已经有3人回复
交流阻抗等效电路图,求大神讲解!
已经有3人回复
求大神看下这个碳谱!!!!!!急求在线等!!!!!
已经有5人回复
求助,交流阻抗谱分析
已经有10人回复
交流阻抗图谱中所隐含的信息有哪些啊,求高手指点
已经有8人回复
交流阻抗谱分析,在线等大神解答!!!
已经有20人回复
交流阻抗谱的分析。。。。。。。各个频率区分别表示什么含义?急等毕业。。。。
已经有6人回复
求助交流阻抗谱分析
已经有10人回复
交流阻抗图谱分析
已经有12人回复
求问交流阻抗谱图的基本知识
已经有7人回复
交流阻抗图谱分析
已经有4人回复
交流阻抗图谱求助
已经有7人回复
弱弱的问:如何根据交流阻抗图计算电阻呢?(在线等啊。。。)
已经有5人回复
电化学阻抗谱基本知识~
已经有1435人回复
交流阻抗图谱分析
已经有23人回复
交流阻抗图谱的分析
已经有15人回复
阻抗图怎么读啊
已经有5人回复
【求助】交流阻抗图谱解析
已经有27人回复
【求助】交流阻抗图谱识别
已经有20人回复
【求助】交流阻抗谱图分析
已经有8人回复
【求助】关于两个弧的交流阻抗图
已经有6人回复
【求助】交流阻抗谱分析
已经有25人回复
请教:为什么交流阻抗图谱中要标出频率
已经有9人回复
1楼
2015-05-08 09:42:30
已阅
回复此楼
关注TA
给TA发消息
送TA红花
TA的回帖
qiqikuikui
新虫
(正式写手)
应助: 0
(幼儿园)
金币: 2753.9
散金: 5398
红花: 5
帖子: 315
在线: 67小时
虫号: 3457167
注册: 2014-10-06
性别:
MM
专业: 生化分析及生物传感
求大神帮忙指点一下,刚接触电化学,一点不懂,那个半圆大小代表什么,后面那条线的长短高低又代表什么呢,谢谢
[ 发自小木虫客户端 ]
赞
一下
回复此楼
2楼
2015-05-12 16:11:14
已阅
回复此楼
关注TA
给TA发消息
送TA红花
TA的回帖
相关版块跳转
有机交流
有机资源
高分子
无机/物化
分析
催化
工艺技术
化工设备
石油化工
精细化工
电化学
环境
SciFinder/Reaxys
我要订阅楼主
qiqikuikui
的主题更新
2
1/1
返回列表
如果回帖内容含有宣传信息,请如实选中。否则帐号将被全论坛禁言
普通表情
龙
兔
虎
猫
百度网盘
|
360云盘
|
千易网盘
|
华为网盘
在新窗口页面中打开自己喜欢的网盘网站,将文件上传后,然后将下载链接复制到帖子内容中就可以了。
信息提示
关闭
请填处理意见
关闭
确定