±±¾©Ê¯ÓÍ»¯¹¤Ñ§Ôº2026ÄêÑо¿ÉúÕÐÉú½ÓÊÕµ÷¼Á¹«¸æ
²é¿´: 2126  |  »Ø¸´: 5

alwaysing

гæ (³õÈëÎÄ̳)

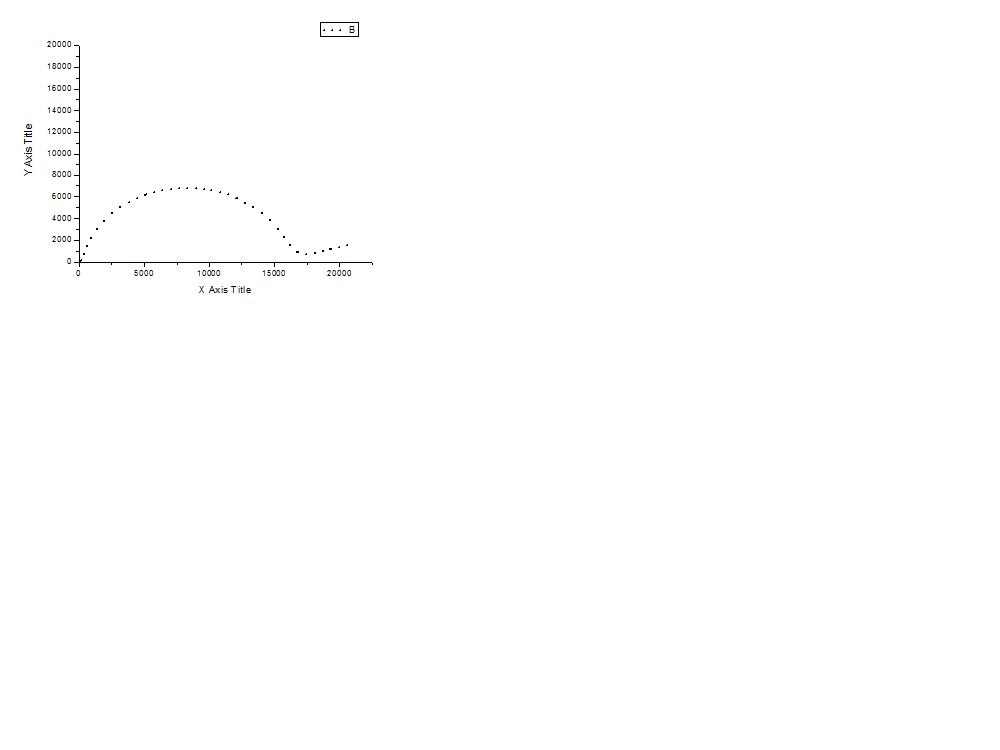
[ÇóÖú] ÈõÈõµÄÎÊ£ºÈçºÎ¸ù¾Ý½»Á÷×迹ͼ¼ÆËãµç×èÄØ£¿£¨ÔÚÏߵȰ¡¡£¡£¡££©

ÏÂͼÊÇÎÒ×ö³öµÄ½»Á÷×迹ͼ£¬ÇëÎÊ£º¸ÃÈçºÎ¼ÆËãµç×èÄØ£¿
Çë¸ßÊÖÖ¸µã£¬·Ç³£¸Ðл СŮ×ÓÔÚÏßµÈŶ

×迹ͼ.png
»Ø¸´´ËÂ¥

» ÊÕ¼±¾ÌûµÄÌÔÌûר¼­ÍƼö

ÄÉÃ×ºÏ³É kydiscuss

» ²ÂÄãϲ»¶

» ±¾Ö÷ÌâÏà¹Ø¼ÛÖµÌùÍÆ¼ö£¬¶ÔÄúͬÑùÓаïÖú:

ÒÑÔÄ   »Ø¸´´ËÂ¥   ¹Ø×¢TA ¸øTA·¢ÏûÏ¢ ËÍTAºì»¨ TAµÄ»ØÌû

cb870913

½û³æ (СÓÐÃûÆø)

±¾ÌûÄÚÈݱ»ÆÁ±Î

2Â¥2012-11-26 21:41:59
ÒÑÔÄ   »Ø¸´´ËÂ¥   ¹Ø×¢TA ¸øTA·¢ÏûÏ¢ ËÍTAºì»¨ TAµÄ»ØÌû

zxj701

Í­³æ (СÓÐÃûÆø)

¡¾´ð°¸¡¿Ó¦Öú»ØÌû

¸Ðл²ÎÓ룬ӦÖúÖ¸Êý +1
Óиö ZsimpWinÈí¼þ£¬ÍøÉÏ¿ÉÒÔÏÂÔØ£¬È¡³öÊý¾Ý½øÐÐÄ£Äâµç·ÄâºÏ£¬¿ÉÒÔÇó³öÄ£Äâµç·ËùÓвÎÊýµÄÊýÖµ¡£Ïà¹ØÏµÔ½´ó½á¹ûԽ׼ȷ¡£ÓÐRs£¬Rp£¬CµÈµç»¯Ñ§Ôª¼þ¡£¿ÉÒÔ¿´¿´²ÜÏÈÉúµÄ¡¶¸¯Ê´µç»¯Ñ§Ô­Àí¡·¡£
3Â¥2012-11-26 22:05:41
ÒÑÔÄ   »Ø¸´´ËÂ¥   ¹Ø×¢TA ¸øTA·¢ÏûÏ¢ ËÍTAºì»¨ TAµÄ»ØÌû

zxj701

Í­³æ (СÓÐÃûÆø)

¡¾´ð°¸¡¿Ó¦Öú»ØÌû

Óиö ZsimpWinÈí¼þ£¬ÍøÉÏ¿ÉÒÔÏÂÔØ£¬È¡³öÊý¾Ý½øÐÐÄ£Äâµç·ÄâºÏ£¬¿ÉÒÔÇó³öÄ£Äâµç·ËùÓвÎÊýµÄÊýÖµ¡£Ïà¹ØÏµÔ½´ó½á¹ûԽ׼ȷ¡£ÓÐRs£¬Rp£¬CµÈµç»¯Ñ§Ôª¼þ¡£¿ÉÒÔ¿´¿´²ÜÏÈÉúµÄ¡¶¸¯Ê´µç»¯Ñ§Ô­Àí¡·¡£
4Â¥2012-11-26 22:07:50
ÒÑÔÄ   »Ø¸´´ËÂ¥   ¹Ø×¢TA ¸øTA·¢ÏûÏ¢ ËÍTAºì»¨ TAµÄ»ØÌû

µç³ØÐ¡±ø

Ìú¸Ëľ³æ (ÖøÃûдÊÖ)

¡¾´ð°¸¡¿Ó¦Öú»ØÌû

¸Ðл²ÎÓ룬ӦÖúÖ¸Êý +1
ÄãÏëµÃµ½Ê²Ã´µç×裿
ÊÇÈÜÒºµç×èRsµÄ»°£¬ÇúÏßÓëʵÖáµÄ½»µãÖµ¾ÍÊÇRs
ÈôÒªÇóËãRctµÈÆäËûµç»¯Ñ§¹ý³ÌµÄ¶¯Á¦Ñ§²ÎÊý£¬¿ÉÓõÈЧµç·½øÐÐÄâºÏ
¡¾»¶Ó­¼ÓÈëС±ø½¨µÄ¡°µç»¯Ñ§Óë﮵硱QQȺ£º255149470¡¿Óï¼£ºÔÚããÖÚÉúÖУ¬ÎÒ²»ÊǸèÐÇ¡¢Ò²²»ÊÇÓ°ÐÇ¡¢¸ü¼Ó²»ÊÇÐÒÔËÐÇ£¬ÎÒÖ»ÊÇÒ»¸öÏë̤̤ʵʵÑо¿µç³ØµÄÎÞÃûС±ø!
5Â¥2012-11-27 09:58:52
ÒÑÔÄ   »Ø¸´´ËÂ¥   ¹Ø×¢TA ¸øTA·¢ÏûÏ¢ ËÍTAºì»¨ TAµÄ»ØÌû

alwaysing

гæ (³õÈëÎÄ̳)

ÎÒÏëµÃµ½µÄÊÇRct£¬¾ÍÊÇÐèÒª×öµÈЧµç·À²£¬Ã»×ö¹ý£¬ÏÈÊÔÊÔ£¬¸Ðл¸÷λ´óÏÀ
6Â¥2012-11-27 22:24:43
ÒÑÔÄ   »Ø¸´´ËÂ¥   ¹Ø×¢TA ¸øTA·¢ÏûÏ¢ ËÍTAºì»¨ TAµÄ»ØÌû
Ïà¹Ø°æ¿éÌø×ª ÎÒÒª¶©ÔÄÂ¥Ö÷ alwaysing µÄÖ÷Ìâ¸üÐÂ
×î¾ßÈËÆøÈÈÌûÍÆ¼ö [²é¿´È«²¿] ×÷Õß »Ø/¿´ ×îºó·¢±í
[¿¼ÑÐ] Ò»Ö¾Ô¸±±½»´ó²ÄÁϹ¤³Ì×Ü·Ö358Çóµ÷¼Á +6 cs0106 2026-04-05 6/300 2026-04-06 08:48 by jj987
[¿¼ÑÐ] ±¾¿Æ211£¬293·ÖÇëÇóµ÷¼Á +8 Á«²Ë¾ÍÊÇź°É 2026-04-03 9/450 2026-04-05 19:12 by À¶ÔÆË¼Óê
[¿¼ÑÐ] ²ÄÁÏר˶(0856) 339·ÖÇóµ÷¼Á +10 ¹þ¹þ¹þ¶ì¹þ¹þ¹þ 2026-04-04 10/500 2026-04-05 18:51 by À¶ÔÆË¼Óê
[¿¼ÑÐ] 081200-11408-276ѧ˶Çóµ÷¼Á +4 ´Þwj 2026-04-04 5/250 2026-04-05 14:06 by imissbao
[¿¼ÑÐ] 346·ÖµÄÉúÎïÓëÒ½Ò©08600Çóµ÷¼Á +5 ³£ÓêÑôÉϰ¶ 2026-04-05 6/300 2026-04-05 13:42 by imissbao
[¿¼ÑÐ] ÉúÎ﹤³ÌÇóµ÷¼Á +6 ϲ»¶»¹ÊDz»¸ÊÐÄ 2026-04-05 6/300 2026-04-05 10:28 by ÌÆãå¶ù
[¿¼ÑÐ] 271·ÖÇóµ÷¼ÁѧУ +12 zph158488£¡ 2026-04-02 13/650 2026-04-05 10:13 by lqwchd
[¿¼ÑÐ] Ò»Ö¾Ô¸±±¾©2£¬²ÄÁÏÓ뻯¹¤308Çóµ÷¼Á +10 ÐܶþÏëÉϰ¶ 2026-04-04 10/500 2026-04-05 05:20 by houyaoxu
[¿¼ÑÐ] ÇóÉúÎïѧѧ˶µ÷¼Á¡ª¡ª364·Ö +7 ÔÆ¶äåÞÍäÖ¸ÄÏ 2026-04-04 7/350 2026-04-04 22:49 by zhyzzh
[ÂÛÎÄͶ¸å] ÇóÎÄÏ× 5+3 ys879651$ 2026-04-02 3/150 2026-04-04 17:22 by bobvan
[¿¼ÑÐ] 272Çóµ÷¼Á +4 Ëɰس£Çà5 2026-04-03 4/200 2026-04-04 17:03 by babysonlkd
[¿¼ÑÐ] 309Çóµ÷¼Á +4 ¿ìÀÖµÄС°×¸ë 2026-04-04 5/250 2026-04-04 15:55 by cql1109
[¿¼ÑÐ] 278Çóµ÷¼Á +6 Yy7400 2026-04-03 6/300 2026-04-04 09:53 by zhangdingwa
[¿¼ÑÐ] 26µ÷¼Á 086003 +6 ʧ»îµÄϸ°û 2026-04-04 6/300 2026-04-04 09:50 by zhangdingwa
[¿¼ÑÐ] 336Çóµ÷¼Á +8 kiyy 2026-04-01 8/400 2026-04-03 19:41 by lijunpoly
[¿¼ÑÐ] Çóµ÷¼Á²»Ìôרҵ +3 xrh030412 2026-04-01 3/150 2026-04-03 14:40 by µªÆøÆøÆø
[¿¼ÑÐ] ÉúÎïѧ308·ÖÇóµ÷¼Á£¨Ò»Ö¾Ô¸»ª¶«Ê¦´ó£© +6 ÏàÐűػá¹ââÍòÕ 2026-03-31 7/350 2026-04-02 23:16 by JourneyLucky
[¿¼ÑÐ] Çóµ÷¼ÁÍÆ¼ö +3 ÄÏɽÄÏ@ 2026-04-01 3/150 2026-04-02 12:09 by xiaoranmu
[¿¼ÑÐ] Ò»Ö¾Ô¸±±½»²ÄÁϹ¤³Ì×Ü·Ö358 +5 cs0106 2026-04-01 7/350 2026-04-01 11:45 by wangjy2002
[¿¼ÑÐ] ±§Ç¸ +3 ÌïºéÓÐ 2026-03-30 3/150 2026-03-30 19:11 by ÃÔºýCCPs
ÐÅÏ¢Ìáʾ
ÇëÌî´¦ÀíÒâ¼û