| 查看: 2245 | 回复: 21 | ||
[求助]
同一物质,质谱分析和氢谱分析为何不相同?
|
||
|
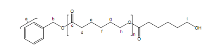
测试分析聚合物的结构,氢谱中有苄基,为何质谱中却分析不出来?希望大家可以帮忙一下,我已经分析快两个星期了,还是不明白 查了很多文献,质谱中是可以分析出来苄基的 下边文件是可能的聚合物结构,氢谱以及质谱 |
» 本帖附件资源列表
-
欢迎监督和反馈:小木虫仅提供交流平台,不对该内容负责。
本内容由用户自主发布,如果其内容涉及到知识产权问题,其责任在于用户本人,如对版权有异议,请联系邮箱:xiaomuchong@tal.com - 附件 1 : Doc1.docx
2015-04-09 11:46:18, 82.94 K
» 猜你喜欢
一志愿河北工业大学0817化工278分求调剂
已经有3人回复
化学308分求调剂
已经有3人回复
085600材料与化工调剂
已经有11人回复
335分 | 材料与化工专硕 | GPA 4.07 | 有科研经历
已经有3人回复
一志愿武理材料工程348求调剂
已经有9人回复
279分求调剂 一志愿211
已经有18人回复
0703化学求调剂
已经有5人回复
材料292调剂
已经有3人回复
一志愿陕师大生物学071000,298分,求调剂
已经有3人回复
306求0703调剂一志愿华中师范
已经有7人回复
» 本主题相关价值贴推荐,对您同样有帮助:
质谱图中 有没有多个峰对应一种物质呢?
已经有14人回复
质谱图中 有没有多个峰对应一种物质呢?
已经有5人回复
核磁共振 氢谱和碳谱
已经有4人回复
GC-MS分析,出峰时间不同,m/z相同,代表的是不同物质吗?
已经有21人回复
小肽的质谱分析,真心求助
已经有4人回复
对于没有标准品的物质如何用质谱进行定量
已经有3人回复
核磁一般氢谱是同核去耦还是不去偶
已经有4人回复
质谱数据怎么判断未知物质分子离子峰
已经有9人回复
各位质谱神人,ESI分析为什么会出现准确分子质量而不是M+1或者加钠或者钾
已经有6人回复
关于质谱分析解析原理的问题
已经有6人回复
电喷雾质谱为什么会有正离子模式和负离子模式?
已经有4人回复
液相-质谱分析中的一个问题求助各位大侠
已经有10人回复
打质谱显示不纯,但是点板是一个点,可以打氢谱么?
已经有21人回复
合成的化合物氢谱数据对但是质谱对不上
已经有18人回复
求解析NMR谱,质谱数据和核磁对不上,凌乱了
已经有16人回复
一份样品液相制备出来两个峰,保留时间不同,打谱发现C谱一样,会是一个化合物吗?
已经有17人回复
H谱挺纯的,为什么质谱测的数据与理论数据相差很大
已经有7人回复
【资源】质谱分析法
已经有13人回复
【讨论】质谱中的未知物质
已经有8人回复
【求助】质谱图库中为什么没有这个物质!
已经有21人回复
archbishop
禁虫 (职业作家)
- ACI: 2
- 应助: 190 (高中生)
- 贵宾: 3.213
- 金币: 13682.5
- 散金: 5394
- 红花: 150
- 沙发: 5
- 帖子: 4552
- 在线: 1148.3小时
- 虫号: 792812
- 注册: 2009-06-12
- 性别: GG
- 专业: 色谱分析
- 管辖: 分析

2楼2015-04-09 12:41:23
|
这是老师改变强度后测得质谱图,我也是才接触质谱,所以好多都不太明白http://image.keyan.cc/data/bcs/2 ... _1428557717_846.png 1111.png |
6楼2015-04-09 13:35:35
chihaijun
至尊木虫 (著名写手)
- ACI: 2
- 应助: 31 (小学生)
- 金币: 14707.1
- 散金: 5000
- 红花: 40
- 帖子: 1759
- 在线: 343.4小时
- 虫号: 152868
- 注册: 2006-01-02
- 性别: GG
- 专业: 有机分析
8楼2015-04-09 13:45:22
archbishop
禁虫 (职业作家)
- ACI: 2
- 应助: 190 (高中生)
- 贵宾: 3.213
- 金币: 13682.5
- 散金: 5394
- 红花: 150
- 沙发: 5
- 帖子: 4552
- 在线: 1148.3小时
- 虫号: 792812
- 注册: 2009-06-12
- 性别: GG
- 专业: 色谱分析
- 管辖: 分析

12楼2015-04-09 13:55:05
archbishop
禁虫 (职业作家)
- ACI: 2
- 应助: 190 (高中生)
- 贵宾: 3.213
- 金币: 13682.5
- 散金: 5394
- 红花: 150
- 沙发: 5
- 帖子: 4552
- 在线: 1148.3小时
- 虫号: 792812
- 注册: 2009-06-12
- 性别: GG
- 专业: 色谱分析
- 管辖: 分析

16楼2015-04-09 15:12:13
archbishop
禁虫 (职业作家)
- ACI: 2
- 应助: 190 (高中生)
- 贵宾: 3.213
- 金币: 13682.5
- 散金: 5394
- 红花: 150
- 沙发: 5
- 帖子: 4552
- 在线: 1148.3小时
- 虫号: 792812
- 注册: 2009-06-12
- 性别: GG
- 专业: 色谱分析
- 管辖: 分析

21楼2015-04-09 17:15:44
3楼2015-04-09 13:10:49
archbishop
禁虫 (职业作家)
- ACI: 2
- 应助: 190 (高中生)
- 贵宾: 3.213
- 金币: 13682.5
- 散金: 5394
- 红花: 150
- 沙发: 5
- 帖子: 4552
- 在线: 1148.3小时
- 虫号: 792812
- 注册: 2009-06-12
- 性别: GG
- 专业: 色谱分析
- 管辖: 分析

4楼2015-04-09 13:19:14
5楼2015-04-09 13:21:28
archbishop
禁虫 (职业作家)
- ACI: 2
- 应助: 190 (高中生)
- 贵宾: 3.213
- 金币: 13682.5
- 散金: 5394
- 红花: 150
- 沙发: 5
- 帖子: 4552
- 在线: 1148.3小时
- 虫号: 792812
- 注册: 2009-06-12
- 性别: GG
- 专业: 色谱分析
- 管辖: 分析

7楼2015-04-09 13:45:04
9楼2015-04-09 13:46:44
10楼2015-04-09 13:47:42













回复此楼