| 查看: 3705 | 回复: 9 | ||
[求助]
质谱数据怎么判断未知物质分子离子峰
|
|
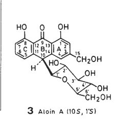
求助:本人研究芦荟中芦荟苷的降解产物,产物结构为未知,做了液质联用,液质老师降未知物质m/z 449进了二级质谱,(如图)据图,我是否可以判断未知物之的分子量就是450?如果不行,我怎样才能未知物质确定分子量? 芦荟苷分子式.gif 芦荟苷一级质谱.gif 芦荟苷二级质谱.gif 未知物质一级质谱.gif 未知物质二级质谱.gif |
» 猜你喜欢
085600材料与化工301分求调剂院校
已经有4人回复
材料与化工371求调剂
已经有14人回复
336材料与化工085600求调剂
已经有7人回复
材料334求调剂
已经有18人回复
331求调剂
已经有8人回复
332求调剂
已经有17人回复
一志愿南京航空航天大学 材料与化工329分求调剂
已经有4人回复
材料专硕322
已经有7人回复
求调剂
已经有20人回复
一志愿郑州大学085600求调剂
已经有20人回复
» 本主题相关商家推荐: (我也要在这里推广)
» 本主题相关价值贴推荐,对您同样有帮助:
未知化合物质谱分析ESI正离子化能同时加Na和加H吗?
已经有3人回复
液相色谱质谱联用定性检测未知物质
已经有7人回复
如何判断是否含有金属元素化合物?
已经有4人回复
质谱分子离子峰
已经有7人回复
MS中没有分子离子峰的原因
已经有7人回复
一级质谱扫离子后,SIM下过柱子药物不出峰,怎么回事?求解!
已经有4人回复
质谱检测的离子模式的选择和化合物的酸碱性
已经有4人回复
有谁知道含硫的物质在质谱上分子离子峰和和同位素峰的比例大概是多少?
已经有3人回复
质谱测定分子量多了14是怎么回事?
已经有25人回复
双季铵盐 质谱 分子离子峰
已经有17人回复
质谱 母离子的分子量计算
已经有4人回复
质谱为什么会出现M+23(钠离子)或M+39(钾离子)峰
已经有7人回复
质谱确定分子量正确但打氢谱时却无样品峰
已经有10人回复
求助ESI质谱图解释
已经有13人回复
中药粗提物二级质谱怎么打?从能量和选择的母离子数来看。
已经有8人回复
质谱图中出现二倍分子离子峰
已经有14人回复
未知样品,质谱685.48,有可能是分子量为663物质加纳的吗?可是分子量差1啊
已经有4人回复
关于核磁和质谱
已经有10人回复
【求助】求助质谱分析,分子离子峰M-NH2。
已经有5人回复
【求助】关于质谱的母离子扫描
已经有10人回复
【求助】高分辨质谱没有分子离子峰?ESI-MS是ok的
已经有10人回复
【资源】质谱分析法
已经有13人回复
【求助】未知样品质谱和核磁结果有很大的分歧,怎么解释
已经有9人回复
soglio
金虫 (正式写手)
- 应助: 8 (幼儿园)
- 金币: 1481.5
- 散金: 32
- 红花: 1
- 帖子: 691
- 在线: 250.6小时
- 虫号: 537834
- 注册: 2008-04-01
- 专业: 生物大分子结构与功能
2楼2013-09-10 21:17:01
3楼2013-09-10 22:17:10
chihaijun
至尊木虫 (著名写手)
- ACI: 2
- 应助: 31 (小学生)
- 金币: 14707.1
- 散金: 5000
- 红花: 40
- 帖子: 1760
- 在线: 343.4小时
- 虫号: 152868
- 注册: 2006-01-02
- 性别: GG
- 专业: 有机分析
4楼2013-09-11 12:27:56
5楼2013-09-11 17:00:34
6楼2013-09-11 17:07:55
7楼2013-09-11 17:12:30
alikeyzl
木虫 (正式写手)
- 应助: 41 (小学生)
- 金币: 2711.2
- 红花: 3
- 帖子: 309
- 在线: 131.8小时
- 虫号: 1284461
- 注册: 2011-05-03
- 性别: GG
- 专业: 食品科学基础

8楼2013-09-11 19:25:13
9楼2013-09-13 09:55:56
alikeyzl
木虫 (正式写手)
- 应助: 41 (小学生)
- 金币: 2711.2
- 红花: 3
- 帖子: 309
- 在线: 131.8小时
- 虫号: 1284461
- 注册: 2011-05-03
- 性别: GG
- 专业: 食品科学基础

10楼2013-09-14 17:04:57














回复此楼