²é¿´: 323  |  »Ø¸´: 0

benxi1994

гæ (³õÈëÎÄ̳)

[ÇóÖú] ÇóÖú×îС¶þ³Ë·¨Çó²ÎÊý

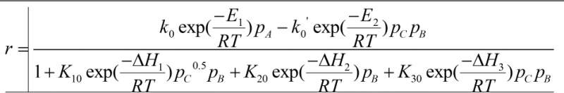
È總¼þÖеÄͼËùʾ£¬ÒѾ­ÖªµÀÁËPa,Pb,PcµÄ·ÖѹÊý¾Ý£¬»¹ÓпÉÒÔÖªµÀ·´Ó¦µÄËÙÂÊr,ÈçºÎÔËÓÃ×îС¶þ³Ë·¨±à³ÌÇó³ö·½³ÌʽÖеIJÎÊýK0£¬K20£¬K10£¬K30£¬H1µÈËùÓеIJÎÊý£¬ÒÑÖªµÄÊý¾Ý×ܹ²´ó¸ÅÓÐÊ®×é¡£ÇóÖú´óÉñ¸ø±à³Ì£¬ÖØÐ»

ÇóÖú×îС¶þ³Ë·¨Çó²ÎÊý
360×ÀÃæ½ØÍ¼20150407090613.jpg
»Ø¸´´ËÂ¥

» ²ÂÄãϲ»¶

ÒÑÔÄ   »Ø¸´´ËÂ¥   ¹Ø×¢TA ¸øTA·¢ÏûÏ¢ ËÍTAºì»¨ TAµÄ»ØÌû

ÖÇÄÜ»úÆ÷ÈË

Robot (super robot)

ÎÒÃǶ¼°®Ð¡Ä¾³æ

ÕÒµ½Ò»Ð©Ïà¹ØµÄ¾«»ªÌû×Ó£¬Ï£ÍûÓÐÓÃŶ~

¿ÆÑдÓСľ³æ¿ªÊ¼£¬ÈËÈËΪÎÒ£¬ÎÒΪÈËÈË
Ïà¹Ø°æ¿éÌø×ª ÎÒÒª¶©ÔÄÂ¥Ö÷ benxi1994 µÄÖ÷Ìâ¸üÐÂ
×î¾ßÈËÆøÈÈÌûÍÆ¼ö [²é¿´È«²¿] ×÷Õß »Ø/¿´ ×îºó·¢±í
[¿¼ÑÐ] 290Çóµ÷¼Á +3 ^O^Ø¿ 2026-03-19 3/150 2026-03-20 11:41 by lature00
[¿¼ÑÐ] Ò»Ö¾Ô¸Î÷ÄϽ»Í¨ ר˶ ²ÄÁÏ355 ±¾¿ÆË«·Ç Çóµ÷¼Á +4 Î÷ÄϽ»Í¨×¨²Ä355 2026-03-19 4/200 2026-03-20 11:39 by »¨¿ª¸»¹óÐÒ¸£ÈËÉ
[¿¼ÑÐ] 317Çóµ÷¼Á +4 Éê×ÓÉêÉê 2026-03-19 9/450 2026-03-20 11:08 by Éê×ÓÉêÉê
[¿¼ÑÐ] ²ÄÁÏר˶ӢһÊý¶þ306 +6 z1z2z3879 2026-03-18 6/300 2026-03-20 08:49 by xingguangj
[¿¼ÑÐ] Áº³ÉΰÀÏʦ¿ÎÌâ×é»¶Ó­ÄãµÄ¼ÓÈë +9 һѼѼӴ 2026-03-14 11/550 2026-03-19 17:22 by £¡±¾°µÒ»´Î£¡
[¿¼ÑÐ] 266Çóµ÷¼Á +5 ÑôÑôÍÛÈû 2026-03-14 10/500 2026-03-19 15:08 by ÑôÑôÍÛÈû
[¿¼ÑÐ] Ò»Ö¾Ô¸ Î÷±±´óѧ £¬070300»¯Ñ§Ñ§Ë¶£¬×Ü·Ö287£¬Ë«·ÇÒ»±¾£¬Çóµ÷¼Á¡£ +3 ³¿»èÏßÓëÐǺ£ 2026-03-19 3/150 2026-03-19 13:36 by houyaoxu
[¿¼ÑÐ] 344Çóµ÷¼Á +6 knight344 2026-03-16 7/350 2026-03-18 20:13 by walc
[¿¼ÑÐ] 334Çóµ÷¼Á +3 Ö¾´æ¸ßÔ¶ÒâÔÚ»úÐ 2026-03-16 3/150 2026-03-18 08:34 by lm4875102
[¿¼ÑÐ] ¿¼Ñл¯Ñ§Ñ§Ë¶µ÷¼Á£¬Ò»Ö¾Ô¸985 +4 ÕÅvvvv 2026-03-15 6/300 2026-03-17 17:15 by ruiyingmiao
[¿¼ÑÐ] ²ÄÁÏÓ뻯¹¤×¨Ë¶µ÷¼Á +5 heming3743 2026-03-16 5/250 2026-03-17 14:03 by Ó¸ÒÌ«¼àÍõ¹«¹«
[¿¼ÑÐ] ²ÄÁϹ¤³Ìר˶274Ò»Ö¾Ô¸211Çóµ÷¼Á +6 Ñ¦ÔÆÅô 2026-03-15 6/300 2026-03-17 11:05 by ѧԱh26Tkc
[¿¼ÑÐ] ҩѧ383 Çóµ÷¼Á +3 ҩѧchy 2026-03-15 4/200 2026-03-16 20:51 by Ôª×Ó^0^
[»ù½ðÉêÇë] ½ñÄêµÄ¹ú»ù½ðÊÇ´ò·ÖÖÆÂ𣿠50+3 zhanghaozhu 2026-03-14 3/150 2026-03-16 17:07 by ±±¾©À³ÒðÈóÉ«
[¿¼ÑÐ] 304Çóµ÷¼Á +5 ËØÄê¼ÀÓï 2026-03-15 5/250 2026-03-16 17:00 by ÎҵĴ¬Îҵĺ£
[¿¼ÑÐ] 277²ÄÁÏ¿ÆÑ§Ó빤³Ì080500Çóµ÷¼Á +3 ×ÔÓɼå±ý¹û×Ó 2026-03-16 3/150 2026-03-16 14:10 by ÔËÆøyunqi
[¿¼ÑÐ] 0856Çóµ÷¼Á +3 ÁõÃÎ΢ 2026-03-15 3/150 2026-03-16 10:00 by houyaoxu
[¿¼ÑÐ] 326Çóµ÷¼Á +3 mlpqaz03 2026-03-15 3/150 2026-03-16 07:33 by Iveryant
[¿¼ÑÐ] Öпƴó²ÄÁÏר˶319Çóµ÷¼Á +3 ÃÏöβÄÁÏ 2026-03-13 3/150 2026-03-14 18:10 by houyaoxu
[¿¼ÑÐ] 304Çóµ÷¼Á +7 7712b 2026-03-13 7/350 2026-03-13 21:42 by peike
ÐÅÏ¢Ìáʾ
ÇëÌî´¦ÀíÒâ¼û