²é¿´: 1226  |  »Ø¸´: 0

×î×Ô˽µÄÅ®ÈË

гæ (³õÈëÎÄ̳)

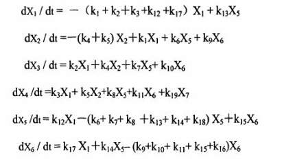
[ÇóÖú] ͬһ·´Ó¦ÔÚ²»Í¬µÄ¶¯Á¦Ñ§Ä£ÐÍÖУ¬ÆäËÙÂʳ£Êý¼°»î»¯ÄÜÓ¦¸ÃÒ»Ñù£¬»¹ÊDz»Í¬£¿

ÔÚÒÔÏÂÁ½¸ö¼ÓÇâÁÑ»¯¼¯×ܶ¯Á¦Ñ§Ä£ÐÍÖУ¬¶¼´æÔÚÀ¯ÓÍ¡úÆûÓÍ+²ñÓͺÍÀ¯ÓÍ¡úÆøÌå+½¹£¬ÕâÁ½¸ö·´Ó¦£¬ÔÚ¸ù¾ÝʵÑéÊý¾Ý¶Ô¶¯Á¦Ñ§Ä£Ð;ÍÐÐÇó½âʱ£¬µÃµ½µÄÕâÁ½¸ö·´Ó¦µÄËÙÂʳ£ÊýkºÍ»î»¯ÄÜEÊÇÓ¦¸ÃÒ»ÑùµÄ»¹ÊDz»Í¬°¡£¿
¼±ÇóÖú£¬Ð»Ð»´ó¼Ò£¡

ͬһ·´Ó¦ÔÚ²»Í¬µÄ¶¯Á¦Ñ§Ä£ÐÍÖУ¬ÆäËÙÂʳ£Êý¼°»î»¯ÄÜÓ¦¸ÃÒ»Ñù£¬»¹ÊDz»Í¬£¿
1.jpg


ͬһ·´Ó¦ÔÚ²»Í¬µÄ¶¯Á¦Ñ§Ä£ÐÍÖУ¬ÆäËÙÂʳ£Êý¼°»î»¯ÄÜÓ¦¸ÃÒ»Ñù£¬»¹ÊDz»Í¬£¿-1
2.jpg


ͬһ·´Ó¦ÔÚ²»Í¬µÄ¶¯Á¦Ñ§Ä£ÐÍÖУ¬ÆäËÙÂʳ£Êý¼°»î»¯ÄÜÓ¦¸ÃÒ»Ñù£¬»¹ÊDz»Í¬£¿-2
3.jpg


ͬһ·´Ó¦ÔÚ²»Í¬µÄ¶¯Á¦Ñ§Ä£ÐÍÖУ¬ÆäËÙÂʳ£Êý¼°»î»¯ÄÜÓ¦¸ÃÒ»Ñù£¬»¹ÊDz»Í¬£¿-3
4.jpg


ͬһ·´Ó¦ÔÚ²»Í¬µÄ¶¯Á¦Ñ§Ä£ÐÍÖУ¬ÆäËÙÂʳ£Êý¼°»î»¯ÄÜÓ¦¸ÃÒ»Ñù£¬»¹ÊDz»Í¬£¿-4
5.jpg


ͬһ·´Ó¦ÔÚ²»Í¬µÄ¶¯Á¦Ñ§Ä£ÐÍÖУ¬ÆäËÙÂʳ£Êý¼°»î»¯ÄÜÓ¦¸ÃÒ»Ñù£¬»¹ÊDz»Í¬£¿-5
6.jpg
»Ø¸´´ËÂ¥
ÒÑÔÄ   »Ø¸´´ËÂ¥   ¹Ø×¢TA ¸øTA·¢ÏûÏ¢ ËÍTAºì»¨ TAµÄ»ØÌû

ÖÇÄÜ»úÆ÷ÈË

Robot (super robot)

ÎÒÃǶ¼°®Ð¡Ä¾³æ

ÕÒµ½Ò»Ð©Ïà¹ØµÄ¾«»ªÌû×Ó£¬Ï£ÍûÓÐÓÃŶ~

¿ÆÑдÓСľ³æ¿ªÊ¼£¬ÈËÈËΪÎÒ£¬ÎÒΪÈËÈË
Ïà¹Ø°æ¿éÌø×ª ÎÒÒª¶©ÔÄÂ¥Ö÷ ×î×Ô˽µÄÅ®ÈË µÄÖ÷Ìâ¸üÐÂ
×î¾ßÈËÆøÈÈÌûÍÆ¼ö [²é¿´È«²¿] ×÷Õß »Ø/¿´ ×îºó·¢±í
[¿¼ÑÐ] 312Çóµ÷¼Á +5 Éϰ¶°ÉZJY 2026-03-22 7/350 2026-03-25 22:20 by 544594351
[¿¼ÑÐ] ²ÄÁÏÇóµ÷¼Á +4 .m.. 2026-03-25 4/200 2026-03-25 21:30 by peike
[¿¼ÑÐ] 271Çóµ÷¼Á +4 ÉúÈçÏÄ»¨¡­ 2026-03-22 4/200 2026-03-25 11:25 by userper
[¿¼ÑÐ] 278Çóµ÷¼Á +4 ÎÒ¿ÉÒÔÉϰ¶µÄ¶Ô 2026-03-19 4/200 2026-03-25 11:01 by userper
[¿¼ÑÐ] »¯Ñ§µ÷¼Á +6 yzysaa 2026-03-21 6/300 2026-03-25 09:27 by aa331100
[¿¼ÑÐ] ÉϺ£µçÁ¦´óѧ²ÄÁÏ·À»¤ÓëвÄÁÏÖØµãʵÑéÊÒÕÐÊÕµ÷¼ÁÑо¿Éú£¨²ÄÁÏ¡¢»¯Ñ§¡¢µç»¯Ñ§£¬»·¾³£© +4 ÎÒ°®Ñ§µç³Ø 2026-03-23 4/200 2026-03-25 00:59 by 1027_324
[¿¼ÑÐ] ×ÊÔ´Óë»·¾³ µ÷¼ÁÉêÇë(333·Ö) +7 holy J 2026-03-21 7/350 2026-03-24 17:24 by xiaohai104
[¿¼²©] 26É격×Ô¼ö +3 whh869393 2026-03-24 3/150 2026-03-24 09:55 by 21018060
[¿¼ÑÐ] Çóµ÷¼Á +7 Ê®Èý¼ÓÓÍ 2026-03-21 7/350 2026-03-23 23:48 by ÈÈÇéɳĮ
[¿¼ÑÐ] 269Çóµ÷¼Á +4 ÎÒÏë¶ÁÑÐ11 2026-03-23 4/200 2026-03-23 21:25 by pswait
[¿¼ÑÐ] 333Çóµ÷¼Á +3 ALULU4408 2026-03-23 3/150 2026-03-23 19:04 by macy2011
[¿¼ÑÐ] 336»¯¹¤µ÷¼Á +4 Íõ´ó̹1 2026-03-23 5/250 2026-03-23 18:32 by allen-yin
[¿¼ÑÐ] 291Çóµ÷¼Á +5 ‹üÈA 2026-03-22 5/250 2026-03-23 09:20 by haoshis
[¿¼ÑÐ] ²ÄÁÏÓ뻯¹¤085600£¬×Ü·Ö304£¬±¾¿ÆÓÐÁ½Æªsci²ÎÓ룬Çóµ÷¼Á +4 ÐÒÔ˵Ľ´½´ 2026-03-22 5/250 2026-03-22 20:15 by edmund7
[¿¼ÑÐ] 298Çóµ÷¼ÁÒ»Ö¾Ô¸211 +3 Éϰ¶6666@ 2026-03-20 3/150 2026-03-22 15:50 by ColorlessPI
[¿¼ÑÐ] Çóµ÷¼ÁԺУÐÅÏ¢ +6 CX 330 2026-03-21 6/300 2026-03-22 15:25 by ÎÞи¿É»÷111
[¿¼ÑÐ] Çóµ÷¼Á +7 Auroracx 2026-03-22 7/350 2026-03-22 12:38 by ËØÑÕÇã³Ç1988
[¿¼ÑÐ] ²ÄÁÏÓ뻯¹¤£¨0856£©304ÇóBÇøµ÷¼Á +3 Çñgl 2026-03-20 7/350 2026-03-21 19:05 by 15709483992
[¿¼ÑÐ] Çóµ÷¼Á +3 13341 2026-03-20 3/150 2026-03-21 18:28 by ѧԱ8dgXkO
[¿¼ÑÐ] 317Çóµ÷¼Á +5 Éê×ÓÉêÉê 2026-03-19 9/450 2026-03-20 22:26 by JourneyLucky
ÐÅÏ¢Ìáʾ
ÇëÌî´¦ÀíÒâ¼û